20UPGFC0087210

MODULE/INITIAL_WARM

Component Information

Serial Number 20UPGFC0087210
ProdDB ID  baa66e…03d7e4
LocalDB ID 6225407780e95c000a583942
Component Type fe_chip
Parents 20UPGR9210119620UPGBQ2101196
Children No match.
Flags

 Properties

Item Value
Wafer serial number 20UPGFW0000340

 Comments


Test: VCAL_CALIBRATION QC Passed

(Stage: MODULE/POST_PARYLENE_WARM)


Basic View Only: custom view for this TestRun is not prepared.

Metadata

Key Data
QC Passed True
Date 2 years ago
component ObjectId 6225407780e95c000a583942
Stage MODULE/POST_PARYLENE_WARM
Test Type VCAL_CALIBRATION
Institute ObjectId
User Name None
ObjectId of this record 655e43af4f444b408be8f705
ObjectId of RAW record 655e43ac4f444b408be8f6f6
Tags No tags

Results

Key Data
ANALYSIS_VERSION mqat v2.2.0
MEASUREMENT_VERSION 2.1.2rc1.dev36
QC_LAYER L2
INSTITUTION LBNL_PIXEL_MODULES
VCAL_MED_SLOPE 0.2
VCAL_MED_OFFSET -1.0
VCAL_MED_LINEARITY 0.63
VCAL_MED_SLOPE_SMALL_RANGE 0.1
VCAL_MED_OFFSET_SMALL_RANGE -0.5
VCAL_MED_LINEARITY_SMALL_RANGE 0.77
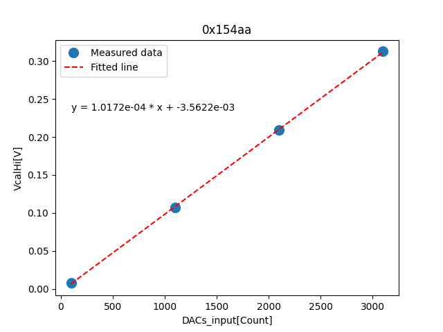
VCAL_HIGH_SLOPE 0.21
VCAL_HIGH_OFFSET -4.0
VCAL_HIGH_LINEARITY 0.6
VCAL_HIGH_SLOPE_SMALL_RANGE 0.1
VCAL_HIGH_OFFSET_SMALL_RANGE -3.56
VCAL_HIGH_LINEARITY_SMALL_RANGE 1.03

Attachments

Filename Contents
output.log Download
0x154aa_VCAL_MED.png
0x154aa_VCAL_MED_SMALL_RANGE.png
0x154aa_VCAL_HIGH.png
0x154aa_VCAL_HIGH_SMALL_RANGE.png
0x154aa.log Download
0x154aa_summary.png

RAW Results Record

Download RAW
_id655e43ac4f444b408be8f6f6
raw
serialNumbertestTypesubtestTyperesultsstagecomponentdbVersionaddresssys
20UPGFC0087210VCAL_CALIBRATIONVCAL_MED
property
VCAL_CALIBRATION_MEASUREMENT_VERSION2.1.2rc1.dev36
comment
Measurements
DACs_input
XTrue
UnitCount
Values
  • 100
  • 1100
  • 2100
  • 3100
Vmux8
XFalse
UnitV
Values
  • 0.0403418
  • 0.242447
  • 0.446133
  • 0.650757
Vmux30
XFalse
UnitV
Values
  • 0.0202099
  • 0.0202099
  • 0.0202099
  • 0.0202099
Metadata
ChipID13
Name0x154aa
InstitutionLBNL_PIXEL_MODULES
ModuleSN20UPGR92101196
useCalibAdcFalse
FirmwareVersion
FirmwareIdentifier
ChannelConfig
SoftwareVersion
ChipConfigs
RD53B
GlobalConfig
AiRegionRow0
AuroraActiveLanes1
AuroraCBSend0
AuroraCBWait04095
AuroraCBWait10
AuroraCCSend3
AuroraCCWait25
AuroraEnPrbs0
AuroraInitWait32
AutoRead0137
AutoRead1133
AutoRead2121
AutoRead3122
AutoRead4124
AutoRead5127
AutoRead6126
AutoRead7125
BcidCnt0
BitFlipErrCnt0
BitFlipWngCnt0
CapMeasEn0
CapMeasEnPar0
CdrClkSel0
CdrCp40
CdrCpBuff200
CdrCpFd400
CdrOverwriteLimit0
CdrPhaseDetSel0
CdrVco1023
CdrVcoBuff500
ChSyncLockThr31
CmdErrCnt0
CmlBias0800
CmlBias1400
CmlBias20
DataEnBcid0
DataEnBinaryRo0
DataEnEos1
DataEnHitRemoval0
DataEnIsoHitRemoval0
DataEnL1id0
DataEnRaw0
DataMaxHits0
DataMaxTot0
DataMergeEn0
DataMergeEnBond0
DataMergeEnClkGate0
DataMergeInMux00
DataMergeInMux11
DataMergeInMux22
DataMergeInMux33
DataMergeInPol0
DataMergeOutMux00
DataMergeOutMux11
DataMergeOutMux22
DataMergeOutMux33
DataMergeSelClk0
DataReadDelay0
DiffComp500
DiffFbCapEn0
DiffLcc100
DiffLccEn0
DiffPreComp350
DiffPreampL550
DiffPreampM550
DiffPreampR550
DiffPreampT550
DiffPreampTL550
DiffPreampTR550
DiffTh1L334
DiffTh1M264
DiffTh1R334
DiffTh250
DiffVff60
EfuseConfig3855
EfuseReadData00
EfuseReadData10
EfuseWriteData00
EfuseWriteData10
EnChipId0
EnCoreCol065535
EnCoreCol165535
EnCoreCol265535
EnCoreCol363
EnCoreColCal00
EnCoreColCal10
EnCoreColCal20
EnCoreColCal30
ErrWngMask0
EvenMask0
FineDelayClk0
FineDelayData0
GcrDefaultConfig44149
GcrDefaultConfigB21386
GlobalPulseConf0
GlobalPulseWidth10
GpCmosDs0
GpCmosEn1
GpCmosRoute34
GpLvdsBias7
GpLvdsEn15
GpLvdsPad00
GpLvdsPad11
GpLvdsPad233
GpLvdsPad335
GpValReg5
HitOrCnt00
HitOrCnt10
HitOrCnt20
HitOrCnt30
HitOrMask00
HitOrMask10
HitOrMask20
HitOrMask30
InjAnaMode0
InjDigEn0
InjFineDelay5
InjVcalHigh424
InjVcalMed200
InjVcalRange1
Latency500
LinComp110
LinCompTa110
LinFc20
LinGdacL408
LinGdacM408
LinGdacR408
LinKrumCurr50
LinLdac100
LinPreampL300
LinPreampM300
LinPreampR300
LinPreampT300
LinPreampTL300
LinPreampTR300
LinRefKrum300
LockLossCnt0
MonAdcTrim0
MonSensAcbDem0
MonSensAcbEn0
MonSensAcbSelBias0
MonSensSldoAnaDem0
MonSensSldoAnaEn0
MonSensSldoAnaSelBias0
MonSensSldoDigDem0
MonSensSldoDigEn0
MonSensSldoDigSelBias0
MonitorEnable1
MonitorI63
MonitorV8
MonitoringDataAdc0
NtcDac100
NumOfEventsInStream1
OddMask0
PixAutoRow1
PixBroadcast0
PixConfMode1
PixDefaultConfig40162
PixDefaultConfigB25373
PixPortal46357
PixRegionCol199
PixRegionRow0
PtotCoreColEn00
PtotCoreColEn10
PtotCoreColEn20
PtotCoreColEn30
RdWrFifoErrCnt0
ReadTrigCnt0
ReadTrigLatency1000
RingOscAClear0
RingOscAEn0
RingOscAOut0
RingOscARoute0
RingOscBClear0
RingOscBEnBl0
RingOscBEnBr0
RingOscBEnCapA0
RingOscBEnFf0
RingOscBEnLvt0
RingOscBOut0
RingOscBRoute0
RstCoreCol00
RstCoreCol10
RstCoreCol20
RstCoreCol30
SelfTrigDelay512
SelfTrigDigThr1
SelfTrigDigThrEn0
SelfTrigEn0
SelfTrigMulti4
SelfTrigPattern65534
SerEnLane1
SerEnTap1
SerInvTap1
SerSelOut01
SerSelOut11
SerSelOut21
SerSelOut31
ServiceBlockEn1
ServiceBlockPeriod50
SkippedTrigCnt0
SldoEnUndershuntA0
SldoEnUndershuntD0
SldoTrimA10
SldoTrimD6
TotEn6b4b0
TotEn800
TotEnPtoa0
TotEnPtot0
TotPtotLatency500
TrigCnt0
TruncTimeoutConf0
TwoLevelTrig0
VrefIn1
VrefRsensBot0
VrefRsensTop0
Parameter
ADCcalPar
  • 9.0
  • 0.192
  • 10000.0
ChipId13
EnforceNameIdCheckTrue
InjCap7.150000095367432
IrefTrim10
KSenseInA21323.96484375
KSenseInD21836.126953125
KSenseShuntA26401.099609375
KSenseShuntD27035.205078125
KShuntA1052.258056640625
KShuntD1058.3070068359375
Name0x154aa
NfACB1.2833307981491089
NfASLDO1.2855430841445923
NfDSLDO1.2867066860198975
NtcCalPar
  • 0.0007488999981433153
  • 0.0002769000129774213
  • 7.059500006789676e-08
VcalPar
  • -1.0
  • 0.20000000298023224
SoftwareType
TimeStart1700676452
TimeEnd1700676469
MODULE/POST_PARYLENE_WARM6225407780e95c000a5839421.0164657cef8d79bac1f3f005c0
mts2023-11-22 18:08:44.889000
cts2023-11-22 18:08:44.889000
rev0
20UPGFC0087210VCAL_CALIBRATIONVCAL_MED_SMALL_RANGE
property
VCAL_CALIBRATION_MEASUREMENT_VERSION2.1.2rc1.dev36
comment
Measurements
DACs_input
XTrue
UnitCount
Values
  • 100
  • 1100
  • 2100
  • 3100
Vmux8
XFalse
UnitV
Values
  • 0.0306089
  • 0.129654
  • 0.230813
  • 0.332898
Vmux30
XFalse
UnitV
Values
  • 0.0202095
  • 0.0202095
  • 0.0202095
  • 0.0202095
Metadata
ChipID13
Name0x154aa
InstitutionLBNL_PIXEL_MODULES
ModuleSN20UPGR92101196
useCalibAdcFalse
FirmwareVersion
FirmwareIdentifier
ChannelConfig
SoftwareVersion
ChipConfigs
RD53B
GlobalConfig
AiRegionRow0
AuroraActiveLanes1
AuroraCBSend0
AuroraCBWait04095
AuroraCBWait10
AuroraCCSend3
AuroraCCWait25
AuroraEnPrbs0
AuroraInitWait32
AutoRead0137
AutoRead1133
AutoRead2121
AutoRead3122
AutoRead4124
AutoRead5127
AutoRead6126
AutoRead7125
BcidCnt0
BitFlipErrCnt0
BitFlipWngCnt0
CapMeasEn0
CapMeasEnPar0
CdrClkSel0
CdrCp40
CdrCpBuff200
CdrCpFd400
CdrOverwriteLimit0
CdrPhaseDetSel0
CdrVco1023
CdrVcoBuff500
ChSyncLockThr31
CmdErrCnt0
CmlBias0800
CmlBias1400
CmlBias20
DataEnBcid0
DataEnBinaryRo0
DataEnEos1
DataEnHitRemoval0
DataEnIsoHitRemoval0
DataEnL1id0
DataEnRaw0
DataMaxHits0
DataMaxTot0
DataMergeEn0
DataMergeEnBond0
DataMergeEnClkGate0
DataMergeInMux00
DataMergeInMux11
DataMergeInMux22
DataMergeInMux33
DataMergeInPol0
DataMergeOutMux00
DataMergeOutMux11
DataMergeOutMux22
DataMergeOutMux33
DataMergeSelClk0
DataReadDelay0
DiffComp500
DiffFbCapEn0
DiffLcc100
DiffLccEn0
DiffPreComp350
DiffPreampL550
DiffPreampM550
DiffPreampR550
DiffPreampT550
DiffPreampTL550
DiffPreampTR550
DiffTh1L334
DiffTh1M264
DiffTh1R334
DiffTh250
DiffVff60
EfuseConfig3855
EfuseReadData00
EfuseReadData10
EfuseWriteData00
EfuseWriteData10
EnChipId0
EnCoreCol065535
EnCoreCol165535
EnCoreCol265535
EnCoreCol363
EnCoreColCal00
EnCoreColCal10
EnCoreColCal20
EnCoreColCal30
ErrWngMask0
EvenMask0
FineDelayClk0
FineDelayData0
GcrDefaultConfig44149
GcrDefaultConfigB21386
GlobalPulseConf0
GlobalPulseWidth10
GpCmosDs0
GpCmosEn1
GpCmosRoute34
GpLvdsBias7
GpLvdsEn15
GpLvdsPad00
GpLvdsPad11
GpLvdsPad233
GpLvdsPad335
GpValReg5
HitOrCnt00
HitOrCnt10
HitOrCnt20
HitOrCnt30
HitOrMask00
HitOrMask10
HitOrMask20
HitOrMask30
InjAnaMode0
InjDigEn0
InjFineDelay5
InjVcalHigh424
InjVcalMed200
InjVcalRange0
Latency500
LinComp110
LinCompTa110
LinFc20
LinGdacL408
LinGdacM408
LinGdacR408
LinKrumCurr50
LinLdac100
LinPreampL300
LinPreampM300
LinPreampR300
LinPreampT300
LinPreampTL300
LinPreampTR300
LinRefKrum300
LockLossCnt0
MonAdcTrim0
MonSensAcbDem0
MonSensAcbEn0
MonSensAcbSelBias0
MonSensSldoAnaDem0
MonSensSldoAnaEn0
MonSensSldoAnaSelBias0
MonSensSldoDigDem0
MonSensSldoDigEn0
MonSensSldoDigSelBias0
MonitorEnable1
MonitorI63
MonitorV8
MonitoringDataAdc0
NtcDac100
NumOfEventsInStream1
OddMask0
PixAutoRow1
PixBroadcast0
PixConfMode1
PixDefaultConfig40162
PixDefaultConfigB25373
PixPortal46357
PixRegionCol199
PixRegionRow0
PtotCoreColEn00
PtotCoreColEn10
PtotCoreColEn20
PtotCoreColEn30
RdWrFifoErrCnt0
ReadTrigCnt0
ReadTrigLatency1000
RingOscAClear0
RingOscAEn0
RingOscAOut0
RingOscARoute0
RingOscBClear0
RingOscBEnBl0
RingOscBEnBr0
RingOscBEnCapA0
RingOscBEnFf0
RingOscBEnLvt0
RingOscBOut0
RingOscBRoute0
RstCoreCol00
RstCoreCol10
RstCoreCol20
RstCoreCol30
SelfTrigDelay512
SelfTrigDigThr1
SelfTrigDigThrEn0
SelfTrigEn0
SelfTrigMulti4
SelfTrigPattern65534
SerEnLane1
SerEnTap1
SerInvTap1
SerSelOut01
SerSelOut11
SerSelOut21
SerSelOut31
ServiceBlockEn1
ServiceBlockPeriod50
SkippedTrigCnt0
SldoEnUndershuntA0
SldoEnUndershuntD0
SldoTrimA10
SldoTrimD6
TotEn6b4b0
TotEn800
TotEnPtoa0
TotEnPtot0
TotPtotLatency500
TrigCnt0
TruncTimeoutConf0
TwoLevelTrig0
VrefIn1
VrefRsensBot0
VrefRsensTop0
Parameter
ADCcalPar
  • 9.0
  • 0.192
  • 10000.0
ChipId13
EnforceNameIdCheckTrue
InjCap7.150000095367432
IrefTrim10
KSenseInA21323.96484375
KSenseInD21836.126953125
KSenseShuntA26401.099609375
KSenseShuntD27035.205078125
KShuntA1052.258056640625
KShuntD1058.3070068359375
Name0x154aa
NfACB1.2833307981491089
NfASLDO1.2855430841445923
NfDSLDO1.2867066860198975
NtcCalPar
  • 0.0007488999981433153
  • 0.0002769000129774213
  • 7.059500006789676e-08
VcalPar
  • -1.0
  • 0.20000000298023224
SoftwareType
TimeStart1700676469
TimeEnd1700676486
MODULE/POST_PARYLENE_WARM6225407780e95c000a5839421.0164657cef8d79bac1f3f005c0
mts2023-11-22 18:08:44.889000
cts2023-11-22 18:08:44.889000
rev0
20UPGFC0087210VCAL_CALIBRATIONVCAL_HIGH
property
VCAL_CALIBRATION_MEASUREMENT_VERSION2.1.2rc1.dev36
comment
Measurements
DACs_input
XTrue
UnitCount
Values
  • 100
  • 1100
  • 2100
  • 3100
Vmux7
XFalse
UnitV
Values
  • 0.0372954
  • 0.240841
  • 0.44732
  • 0.652078
Vmux30
XFalse
UnitV
Values
  • 0.0202031
  • 0.0202031
  • 0.0202031
  • 0.0202031
Metadata
ChipID13
Name0x154aa
InstitutionLBNL_PIXEL_MODULES
ModuleSN20UPGR92101196
useCalibAdcFalse
FirmwareVersion
FirmwareIdentifier
ChannelConfig
SoftwareVersion
ChipConfigs
RD53B
GlobalConfig
AiRegionRow0
AuroraActiveLanes1
AuroraCBSend0
AuroraCBWait04095
AuroraCBWait10
AuroraCCSend3
AuroraCCWait25
AuroraEnPrbs0
AuroraInitWait32
AutoRead0137
AutoRead1133
AutoRead2121
AutoRead3122
AutoRead4124
AutoRead5127
AutoRead6126
AutoRead7125
BcidCnt0
BitFlipErrCnt0
BitFlipWngCnt0
CapMeasEn0
CapMeasEnPar0
CdrClkSel0
CdrCp40
CdrCpBuff200
CdrCpFd400
CdrOverwriteLimit0
CdrPhaseDetSel0
CdrVco1023
CdrVcoBuff500
ChSyncLockThr31
CmdErrCnt0
CmlBias0800
CmlBias1400
CmlBias20
DataEnBcid0
DataEnBinaryRo0
DataEnEos1
DataEnHitRemoval0
DataEnIsoHitRemoval0
DataEnL1id0
DataEnRaw0
DataMaxHits0
DataMaxTot0
DataMergeEn0
DataMergeEnBond0
DataMergeEnClkGate0
DataMergeInMux00
DataMergeInMux11
DataMergeInMux22
DataMergeInMux33
DataMergeInPol0
DataMergeOutMux00
DataMergeOutMux11
DataMergeOutMux22
DataMergeOutMux33
DataMergeSelClk0
DataReadDelay0
DiffComp500
DiffFbCapEn0
DiffLcc100
DiffLccEn0
DiffPreComp350
DiffPreampL550
DiffPreampM550
DiffPreampR550
DiffPreampT550
DiffPreampTL550
DiffPreampTR550
DiffTh1L334
DiffTh1M264
DiffTh1R334
DiffTh250
DiffVff60
EfuseConfig3855
EfuseReadData00
EfuseReadData10
EfuseWriteData00
EfuseWriteData10
EnChipId0
EnCoreCol065535
EnCoreCol165535
EnCoreCol265535
EnCoreCol363
EnCoreColCal00
EnCoreColCal10
EnCoreColCal20
EnCoreColCal30
ErrWngMask0
EvenMask0
FineDelayClk0
FineDelayData0
GcrDefaultConfig44149
GcrDefaultConfigB21386
GlobalPulseConf0
GlobalPulseWidth10
GpCmosDs0
GpCmosEn1
GpCmosRoute34
GpLvdsBias7
GpLvdsEn15
GpLvdsPad00
GpLvdsPad11
GpLvdsPad233
GpLvdsPad335
GpValReg5
HitOrCnt00
HitOrCnt10
HitOrCnt20
HitOrCnt30
HitOrMask00
HitOrMask10
HitOrMask20
HitOrMask30
InjAnaMode0
InjDigEn0
InjFineDelay5
InjVcalHigh424
InjVcalMed200
InjVcalRange1
Latency500
LinComp110
LinCompTa110
LinFc20
LinGdacL408
LinGdacM408
LinGdacR408
LinKrumCurr50
LinLdac100
LinPreampL300
LinPreampM300
LinPreampR300
LinPreampT300
LinPreampTL300
LinPreampTR300
LinRefKrum300
LockLossCnt0
MonAdcTrim0
MonSensAcbDem0
MonSensAcbEn0
MonSensAcbSelBias0
MonSensSldoAnaDem0
MonSensSldoAnaEn0
MonSensSldoAnaSelBias0
MonSensSldoDigDem0
MonSensSldoDigEn0
MonSensSldoDigSelBias0
MonitorEnable1
MonitorI63
MonitorV7
MonitoringDataAdc0
NtcDac100
NumOfEventsInStream1
OddMask0
PixAutoRow1
PixBroadcast0
PixConfMode1
PixDefaultConfig40162
PixDefaultConfigB25373
PixPortal46357
PixRegionCol199
PixRegionRow0
PtotCoreColEn00
PtotCoreColEn10
PtotCoreColEn20
PtotCoreColEn30
RdWrFifoErrCnt0
ReadTrigCnt0
ReadTrigLatency1000
RingOscAClear0
RingOscAEn0
RingOscAOut0
RingOscARoute0
RingOscBClear0
RingOscBEnBl0
RingOscBEnBr0
RingOscBEnCapA0
RingOscBEnFf0
RingOscBEnLvt0
RingOscBOut0
RingOscBRoute0
RstCoreCol00
RstCoreCol10
RstCoreCol20
RstCoreCol30
SelfTrigDelay512
SelfTrigDigThr1
SelfTrigDigThrEn0
SelfTrigEn0
SelfTrigMulti4
SelfTrigPattern65534
SerEnLane1
SerEnTap1
SerInvTap1
SerSelOut01
SerSelOut11
SerSelOut21
SerSelOut31
ServiceBlockEn1
ServiceBlockPeriod50
SkippedTrigCnt0
SldoEnUndershuntA0
SldoEnUndershuntD0
SldoTrimA10
SldoTrimD6
TotEn6b4b0
TotEn800
TotEnPtoa0
TotEnPtot0
TotPtotLatency500
TrigCnt0
TruncTimeoutConf0
TwoLevelTrig0
VrefIn1
VrefRsensBot0
VrefRsensTop0
Parameter
ADCcalPar
  • 9.0
  • 0.192
  • 10000.0
ChipId13
EnforceNameIdCheckTrue
InjCap7.150000095367432
IrefTrim10
KSenseInA21323.96484375
KSenseInD21836.126953125
KSenseShuntA26401.099609375
KSenseShuntD27035.205078125
KShuntA1052.258056640625
KShuntD1058.3070068359375
Name0x154aa
NfACB1.2833307981491089
NfASLDO1.2855430841445923
NfDSLDO1.2867066860198975
NtcCalPar
  • 0.0007488999981433153
  • 0.0002769000129774213
  • 7.059500006789676e-08
VcalPar
  • -1.0
  • 0.20000000298023224
SoftwareType
TimeStart1700676486
TimeEnd1700676502
MODULE/POST_PARYLENE_WARM6225407780e95c000a5839421.0164657cef8d79bac1f3f005c0
mts2023-11-22 18:08:44.889000
cts2023-11-22 18:08:44.889000
rev0
20UPGFC0087210VCAL_CALIBRATIONVCAL_HIGH_SMALL_RANGE
property
VCAL_CALIBRATION_MEASUREMENT_VERSION2.1.2rc1.dev36
comment
Measurements
DACs_input
XTrue
UnitCount
Values
  • 100
  • 1100
  • 2100
  • 3100
Vmux7
XFalse
UnitV
Values
  • 0.0279273
  • 0.127158
  • 0.229637
  • 0.332821
Vmux30
XFalse
UnitV
Values
  • 0.0202024
  • 0.0202024
  • 0.0202024
  • 0.0202024
Metadata
ChipID13
Name0x154aa
InstitutionLBNL_PIXEL_MODULES
ModuleSN20UPGR92101196
useCalibAdcFalse
FirmwareVersion
FirmwareIdentifier
ChannelConfig
SoftwareVersion
ChipConfigs
RD53B
GlobalConfig
AiRegionRow0
AuroraActiveLanes1
AuroraCBSend0
AuroraCBWait04095
AuroraCBWait10
AuroraCCSend3
AuroraCCWait25
AuroraEnPrbs0
AuroraInitWait32
AutoRead0137
AutoRead1133
AutoRead2121
AutoRead3122
AutoRead4124
AutoRead5127
AutoRead6126
AutoRead7125
BcidCnt0
BitFlipErrCnt0
BitFlipWngCnt0
CapMeasEn0
CapMeasEnPar0
CdrClkSel0
CdrCp40
CdrCpBuff200
CdrCpFd400
CdrOverwriteLimit0
CdrPhaseDetSel0
CdrVco1023
CdrVcoBuff500
ChSyncLockThr31
CmdErrCnt0
CmlBias0800
CmlBias1400
CmlBias20
DataEnBcid0
DataEnBinaryRo0
DataEnEos1
DataEnHitRemoval0
DataEnIsoHitRemoval0
DataEnL1id0
DataEnRaw0
DataMaxHits0
DataMaxTot0
DataMergeEn0
DataMergeEnBond0
DataMergeEnClkGate0
DataMergeInMux00
DataMergeInMux11
DataMergeInMux22
DataMergeInMux33
DataMergeInPol0
DataMergeOutMux00
DataMergeOutMux11
DataMergeOutMux22
DataMergeOutMux33
DataMergeSelClk0
DataReadDelay0
DiffComp500
DiffFbCapEn0
DiffLcc100
DiffLccEn0
DiffPreComp350
DiffPreampL550
DiffPreampM550
DiffPreampR550
DiffPreampT550
DiffPreampTL550
DiffPreampTR550
DiffTh1L334
DiffTh1M264
DiffTh1R334
DiffTh250
DiffVff60
EfuseConfig3855
EfuseReadData00
EfuseReadData10
EfuseWriteData00
EfuseWriteData10
EnChipId0
EnCoreCol065535
EnCoreCol165535
EnCoreCol265535
EnCoreCol363
EnCoreColCal00
EnCoreColCal10
EnCoreColCal20
EnCoreColCal30
ErrWngMask0
EvenMask0
FineDelayClk0
FineDelayData0
GcrDefaultConfig44149
GcrDefaultConfigB21386
GlobalPulseConf0
GlobalPulseWidth10
GpCmosDs0
GpCmosEn1
GpCmosRoute34
GpLvdsBias7
GpLvdsEn15
GpLvdsPad00
GpLvdsPad11
GpLvdsPad233
GpLvdsPad335
GpValReg5
HitOrCnt00
HitOrCnt10
HitOrCnt20
HitOrCnt30
HitOrMask00
HitOrMask10
HitOrMask20
HitOrMask30
InjAnaMode0
InjDigEn0
InjFineDelay5
InjVcalHigh424
InjVcalMed200
InjVcalRange0
Latency500
LinComp110
LinCompTa110
LinFc20
LinGdacL408
LinGdacM408
LinGdacR408
LinKrumCurr50
LinLdac100
LinPreampL300
LinPreampM300
LinPreampR300
LinPreampT300
LinPreampTL300
LinPreampTR300
LinRefKrum300
LockLossCnt0
MonAdcTrim0
MonSensAcbDem0
MonSensAcbEn0
MonSensAcbSelBias0
MonSensSldoAnaDem0
MonSensSldoAnaEn0
MonSensSldoAnaSelBias0
MonSensSldoDigDem0
MonSensSldoDigEn0
MonSensSldoDigSelBias0
MonitorEnable1
MonitorI63
MonitorV7
MonitoringDataAdc0
NtcDac100
NumOfEventsInStream1
OddMask0
PixAutoRow1
PixBroadcast0
PixConfMode1
PixDefaultConfig40162
PixDefaultConfigB25373
PixPortal46357
PixRegionCol199
PixRegionRow0
PtotCoreColEn00
PtotCoreColEn10
PtotCoreColEn20
PtotCoreColEn30
RdWrFifoErrCnt0
ReadTrigCnt0
ReadTrigLatency1000
RingOscAClear0
RingOscAEn0
RingOscAOut0
RingOscARoute0
RingOscBClear0
RingOscBEnBl0
RingOscBEnBr0
RingOscBEnCapA0
RingOscBEnFf0
RingOscBEnLvt0
RingOscBOut0
RingOscBRoute0
RstCoreCol00
RstCoreCol10
RstCoreCol20
RstCoreCol30
SelfTrigDelay512
SelfTrigDigThr1
SelfTrigDigThrEn0
SelfTrigEn0
SelfTrigMulti4
SelfTrigPattern65534
SerEnLane1
SerEnTap1
SerInvTap1
SerSelOut01
SerSelOut11
SerSelOut21
SerSelOut31
ServiceBlockEn1
ServiceBlockPeriod50
SkippedTrigCnt0
SldoEnUndershuntA0
SldoEnUndershuntD0
SldoTrimA10
SldoTrimD6
TotEn6b4b0
TotEn800
TotEnPtoa0
TotEnPtot0
TotPtotLatency500
TrigCnt0
TruncTimeoutConf0
TwoLevelTrig0
VrefIn1
VrefRsensBot0
VrefRsensTop0
Parameter
ADCcalPar
  • 9.0
  • 0.192
  • 10000.0
ChipId13
EnforceNameIdCheckTrue
InjCap7.150000095367432
IrefTrim10
KSenseInA21323.96484375
KSenseInD21836.126953125
KSenseShuntA26401.099609375
KSenseShuntD27035.205078125
KShuntA1052.258056640625
KShuntD1058.3070068359375
Name0x154aa
NfACB1.2833307981491089
NfASLDO1.2855430841445923
NfDSLDO1.2867066860198975
NtcCalPar
  • 0.0007488999981433153
  • 0.0002769000129774213
  • 7.059500006789676e-08
VcalPar
  • -1.0
  • 0.20000000298023224
SoftwareType
TimeStart1700676502
TimeEnd1700676519
MODULE/POST_PARYLENE_WARM6225407780e95c000a5839421.0164657cef8d79bac1f3f005c0
mts2023-11-22 18:08:44.889000
cts2023-11-22 18:08:44.889000
rev0
rawHashf26723c130c2afd4a39e2e2e363800d3
stageMODULE/POST_PARYLENE_WARM

ProductionDB Record

{}

 Current Stage: Initial Warm

Test Type Local Result
ADC Calibration
(ADC_CALIBRATION)
TestRun Present
Analog Readback
(ANALOG_READBACK)
TestRun Present
SLDO
(SLDO)
TestRun Present
VCAL Calibration
(VCAL_CALIBRATION)
TestRun Present
Low Power Mode
(LP_MODE)
TestRun Present
Data Transmission
(DATA_TRANSMISSION)
TestRun Present
Injection Capacitance
(INJECTION_CAPACITANCE)
TestRun Present
Minimal Health Test
(MIN_HEALTH_TEST)
TestRun Present
Tuning
(TUNING)
TestRun Present
Pixel Failure Analysis
(PIXEL_FAILURE_ANALYSIS)
TestRun Present

 Candidate TestRuns of this Stage

LDB ID TestRun Code QC Passed Inspector Measurement Date Analysis Date Analysis Version Tags QC Registration
657b93…fbb2f2 PIXEL_FAILURE_ANALYSIS Fail None N/A 2 years ago 2.2.2 No tags Selected
657b91…fbb1bb TUNING Fail None N/A 2 years ago 2.2.2 No tags Selected
657b90…fbb0d6 MIN_HEALTH_TEST Pass None N/A 2 years ago 2.2.2 No tags Selected
657b52…34f798 DATA_TRANSMISSION Pass None 2 years ago 2 years ago 2.2.2 No tags Selected
657b4e…34f761 OVERVOLTAGE_PROTECTION Fail None 2 years ago 2 years ago 2.2.2 No tags Selected
657b4d…34f39d DATA_TRANSMISSION Pass None 2 years ago 2 years ago 2.2.2 No tags
657b4d…34f30d UNDERSHUNT_PROTECTION Fail None 2 years ago 2 years ago 2.2.2 No tags Selected
657b4c…34f24f OVERVOLTAGE_PROTECTION Fail None 2 years ago 2 years ago 2.2.2 No tags
655e57…89368e DATA_TRANSMISSION Pass None 2 years ago 2 years ago 2.2.0 No tags
655e56…89366a UNDERSHUNT_PROTECTION Fail None 2 years ago 2 years ago 2.2.0 No tags
655e56…89364a OVERVOLTAGE_PROTECTION Fail None 2 years ago 2 years ago 2.2.0 No tags
655e50…89362a LP_MODE Fail None 2 years ago 2 years ago 2.2.0 No tags Selected
655e44…e8f741 INJECTION_CAPACITANCE Pass None 2 years ago 2 years ago 2.2.0 No tags Selected
655e43…e8f705 VCAL_CALIBRATION Pass None 2 years ago 2 years ago 2.2.0 No tags Selected
655e43…e8f6c9 SLDO Fail None 2 years ago 2 years ago 2.2.0 No tags Selected
655e3f…e8f663 ANALOG_READBACK Fail None 2 years ago 2 years ago 2.2.0 No tags Selected
655e39…e8f604 ADC_CALIBRATION Pass None 2 years ago 2 years ago 2.2.0 No tags Selected
655d52…093c11 SLDO Fail None 2 years ago 2 years ago 2.2.0 No tags
655d4e…093bab ANALOG_READBACK Fail None 2 years ago 2 years ago 2.2.0 No tags
655d48…093b4c ADC_CALIBRATION Pass None 2 years ago 2 years ago 2.2.0 No tags

Past QC Stages and Results

Wire Bonding (MODULE/WIREBONDING)

Bare module to module PCB assembly (MODULE/ASSEMBLY)

Initial state to associate flex to bare module (MODULE/INIT)

Reception at ITk institute (BAREMODULERECEPTION)

Test Local Result ProdDB Record
Analog Readback
(ANALOG_READBACK)
No result N/A
Minimal Health Test
(MIN_HEALTH_TEST)
No result N/A

Bare module assembly (BAREMODULEASSEMBLY)

Not to be used for detector (UNUSABLE)

Hybridisation (HYBRIDISATION)

Testing on wafer (TESTONWAFER)

Test Local Result ProdDB Record
Electrical FE chip tests
(FECHIP_TEST)
No result N/A
LocalDB Test ID Stage Test Name Inspector Measurement Date Analysis Date Tags QC Registration
67180f…7b0937 MODULE/INITIAL_WARM ADC_CALIBRATION None a year ago a year ago No tags
66f6cd…19738d MODULE/INITIAL_WARM LP_MODE None a year ago a year ago No tags
66f45b…6273e4 MODULE/INITIAL_WARM DATA_TRANSMISSION None a year ago a year ago No tags
66f45b…6273bd MODULE/INITIAL_WARM LP_MODE None a year ago a year ago No tags
66f45a…62738d MODULE/INITIAL_WARM INJECTION_CAPACITANCE None a year ago a year ago No tags
66f45a…62734d MODULE/INITIAL_WARM VCAL_CALIBRATION None a year ago a year ago No tags
66f458…627310 MODULE/INITIAL_WARM SLDO None a year ago a year ago No tags
66f455…6272be MODULE/INITIAL_WARM ANALOG_READBACK None a year ago a year ago No tags
66f44f…627274 MODULE/INITIAL_WARM ADC_CALIBRATION None a year ago a year ago No tags
66f43d…627220 MODULE/INITIAL_WARM ANALOG_READBACK None a year ago a year ago No tags
669c8b…36d8ed MODULE/INITIAL_WARM PIXEL_FAILURE_ANALYSIS None N/A a year ago No tags Selected
669c8b…36d7b5 MODULE/INITIAL_WARM TUNING None N/A a year ago No tags Selected
669c8b…36d650 MODULE/INITIAL_WARM MIN_HEALTH_TEST None N/A a year ago No tags Selected
669c8b…36d5a7 MODULE/INITIAL_WARM PIXEL_FAILURE_ANALYSIS None N/A a year ago No tags
669c8b…36d36a MODULE/INITIAL_WARM TUNING None N/A a year ago No tags
669c8b…36d1a8 MODULE/INITIAL_WARM MIN_HEALTH_TEST None N/A a year ago No tags
669c8b…36d155 MODULE/INITIAL_WARM PIXEL_FAILURE_ANALYSIS None N/A a year ago No tags
669c8a…36cf2e MODULE/INITIAL_WARM TUNING None N/A a year ago No tags
669c8a…36ce12 MODULE/INITIAL_WARM MIN_HEALTH_TEST None N/A a year ago No tags
6696d5…467254 MODULE/INITIAL_WARM PIXEL_FAILURE_ANALYSIS None N/A a year ago No tags
6696d4…467152 MODULE/INITIAL_WARM TUNING None N/A a year ago No tags
6696d3…4670ad MODULE/INITIAL_WARM MIN_HEALTH_TEST None N/A a year ago No tags
6695c6…9d9d03 MODULE/INITIAL_WARM DATA_TRANSMISSION None a year ago a year ago No tags
669c8c…36d99d MODULE/INITIAL_WARM DATA_TRANSMISSION None a year ago a year ago No tags Selected
6695c6…9d9cdb MODULE/INITIAL_WARM UNDERSHUNT_PROTECTION None a year ago a year ago No tags
669c8c…36d97c MODULE/INITIAL_WARM UNDERSHUNT_PROTECTION None a year ago a year ago No tags Selected
6695c5…9d9cb7 MODULE/INITIAL_WARM OVERVOLTAGE_PROTECTION None a year ago a year ago No tags
6695c0…9d9c8d MODULE/INITIAL_WARM LP_MODE None a year ago a year ago No tags
6695bf…9d9c5c MODULE/INITIAL_WARM INJECTION_CAPACITANCE None a year ago a year ago No tags
6695be…9d9c1c MODULE/INITIAL_WARM VCAL_CALIBRATION None a year ago a year ago No tags
6695bc…9d9bdb MODULE/INITIAL_WARM SLDO None a year ago a year ago No tags
6695b9…9d9b7c MODULE/INITIAL_WARM ANALOG_READBACK None a year ago a year ago No tags
6695b2…9d9b31 MODULE/INITIAL_WARM ADC_CALIBRATION None a year ago a year ago No tags
66955a…e397ce MODULE/INITIAL_WARM SLDO None a year ago a year ago No tags
66903b…05d361 MODULE/INITIAL_WARM SLDO None a year ago a year ago No tags
669038…05d32a MODULE/INITIAL_WARM DATA_TRANSMISSION None a year ago a year ago No tags
669038…05d302 MODULE/INITIAL_WARM UNDERSHUNT_PROTECTION None a year ago a year ago No tags
669036…05d2de MODULE/INITIAL_WARM OVERVOLTAGE_PROTECTION None a year ago a year ago No tags
669031…05d2ba MODULE/INITIAL_WARM LP_MODE None a year ago a year ago No tags
669030…05d288 MODULE/INITIAL_WARM INJECTION_CAPACITANCE None a year ago a year ago No tags
66902f…05d248 MODULE/INITIAL_WARM VCAL_CALIBRATION None a year ago a year ago No tags
66902d…05d208 MODULE/INITIAL_WARM SLDO None a year ago a year ago No tags
669028…05d19c MODULE/INITIAL_WARM ANALOG_READBACK None a year ago a year ago No tags
669021…05d12d MODULE/INITIAL_WARM ADC_CALIBRATION None a year ago a year ago No tags
657cea…01d5a6 MODULE/POST_PARYLENE_COLD PIXEL_FAILURE_ANALYSIS None N/A 2 years ago No tags Selected
657ce4…918a3b MODULE/POST_PARYLENE_COLD TUNING None N/A 2 years ago No tags Selected
657ce3…9189d3 MODULE/POST_PARYLENE_COLD MIN_HEALTH_TEST None N/A 2 years ago No tags Selected
657cad…91891a MODULE/POST_PARYLENE_COLD MIN_HEALTH_TEST None N/A 2 years ago No tags
657ca2…91880c MODULE/POST_PARYLENE_COLD PIXEL_FAILURE_ANALYSIS None N/A 2 years ago No tags
657ca1…918781 MODULE/POST_PARYLENE_COLD MIN_HEALTH_TEST None N/A 2 years ago No tags
657bf6…3ce672 MODULE/POST_PARYLENE_COLD PIXEL_FAILURE_ANALYSIS None N/A 2 years ago No tags
657bf6…3ce613 MODULE/POST_PARYLENE_COLD TUNING None N/A 2 years ago No tags
657bf5…3ce5f6 MODULE/POST_PARYLENE_COLD MIN_HEALTH_TEST None N/A 2 years ago No tags
657bb5…fbb865 MODULE/POST_PARYLENE_COLD DATA_TRANSMISSION None 2 years ago 2 years ago No tags Selected
657bb5…fbb83d MODULE/POST_PARYLENE_COLD UNDERSHUNT_PROTECTION None 2 years ago 2 years ago No tags Selected
657bb4…fbb819 MODULE/POST_PARYLENE_COLD OVERVOLTAGE_PROTECTION None 2 years ago 2 years ago No tags Selected
657bb4…fbb7f5 MODULE/POST_PARYLENE_COLD LP_MODE None 2 years ago 2 years ago No tags Selected
657bb2…fbb7c5 MODULE/POST_PARYLENE_COLD INJECTION_CAPACITANCE None 2 years ago 2 years ago No tags Selected
657bb2…fbb785 MODULE/POST_PARYLENE_COLD VCAL_CALIBRATION None 2 years ago 2 years ago No tags Selected
657bb1…fbb745 MODULE/POST_PARYLENE_COLD SLDO None 2 years ago 2 years ago No tags Selected
657baf…fbb6db MODULE/POST_PARYLENE_COLD ANALOG_READBACK None 2 years ago 2 years ago No tags Selected
657ba7…fbb3ce MODULE/POST_PARYLENE_COLD ADC_CALIBRATION None 2 years ago 2 years ago No tags Selected
657b93…fbb2f2 MODULE/POST_PARYLENE_WARM PIXEL_FAILURE_ANALYSIS None N/A 2 years ago No tags Selected
657b91…fbb1bb MODULE/POST_PARYLENE_WARM TUNING None N/A 2 years ago No tags Selected
657b90…fbb0d6 MODULE/POST_PARYLENE_WARM MIN_HEALTH_TEST None N/A 2 years ago No tags Selected
657b52…34f798 MODULE/POST_PARYLENE_WARM DATA_TRANSMISSION None 2 years ago 2 years ago No tags Selected
657b4e…34f761 MODULE/POST_PARYLENE_WARM OVERVOLTAGE_PROTECTION None 2 years ago 2 years ago No tags Selected
657b4d…34f692 MODULE/INITIAL_COLD PIXEL_FAILURE_ANALYSIS None N/A 2 years ago No tags
657b4d…34f57c MODULE/INITIAL_COLD TUNING None N/A 2 years ago No tags
657b4d…34f492 MODULE/INITIAL_COLD MIN_HEALTH_TEST None N/A 2 years ago No tags
657b4d…34f39d MODULE/POST_PARYLENE_WARM DATA_TRANSMISSION None 2 years ago 2 years ago No tags
657b4d…34f30d MODULE/POST_PARYLENE_WARM UNDERSHUNT_PROTECTION None 2 years ago 2 years ago No tags Selected
657b4c…34f24f MODULE/POST_PARYLENE_WARM OVERVOLTAGE_PROTECTION None 2 years ago 2 years ago No tags
657b4b…34f150 MODULE/INITIAL_WARM PIXEL_FAILURE_ANALYSIS None N/A 2 years ago No tags
657b4a…34f033 MODULE/INITIAL_WARM TUNING None N/A 2 years ago No tags
657b4a…34ef46 MODULE/INITIAL_WARM MIN_HEALTH_TEST None N/A 2 years ago No tags
655e57…89368e MODULE/POST_PARYLENE_WARM DATA_TRANSMISSION None 2 years ago 2 years ago No tags
655e56…89366a MODULE/POST_PARYLENE_WARM UNDERSHUNT_PROTECTION None 2 years ago 2 years ago No tags
655e56…89364a MODULE/POST_PARYLENE_WARM OVERVOLTAGE_PROTECTION None 2 years ago 2 years ago No tags
655e50…89362a MODULE/POST_PARYLENE_WARM LP_MODE None 2 years ago 2 years ago No tags Selected
655e44…e8f741 MODULE/POST_PARYLENE_WARM INJECTION_CAPACITANCE None 2 years ago 2 years ago No tags Selected
655e43…e8f705 MODULE/POST_PARYLENE_WARM VCAL_CALIBRATION None 2 years ago 2 years ago No tags Selected
655e43…e8f6c9 MODULE/POST_PARYLENE_WARM SLDO None 2 years ago 2 years ago No tags Selected
655e3f…e8f663 MODULE/POST_PARYLENE_WARM ANALOG_READBACK None 2 years ago 2 years ago No tags Selected
655e39…e8f604 MODULE/POST_PARYLENE_WARM ADC_CALIBRATION None 2 years ago 2 years ago No tags Selected
655d52…093c11 MODULE/POST_PARYLENE_WARM SLDO None 2 years ago 2 years ago No tags
655d4e…093bab MODULE/POST_PARYLENE_WARM ANALOG_READBACK None 2 years ago 2 years ago No tags
655d48…093b4c MODULE/POST_PARYLENE_WARM ADC_CALIBRATION None 2 years ago 2 years ago No tags
655d20…093a77 MODULE/INITIAL_COLD MIN_HEALTH_TEST None N/A 2 years ago No tags Selected
655d1f…093933 MODULE/INITIAL_COLD TUNING None N/A 2 years ago No tags Selected
655d1d…5c0f65 MODULE/INITIAL_COLD PIXEL_FAILURE_ANALYSIS None N/A 2 years ago No tags Selected
655c29…c33d8e MODULE/INITIAL_COLD DATA_TRANSMISSION None 2 years ago 2 years ago No tags
657b4e…34f73b MODULE/INITIAL_COLD DATA_TRANSMISSION None 2 years ago 2 years ago No tags Selected
655c03…ab17f3 MODULE/INITIAL_COLD DATA_TRANSMISSION None 2 years ago 2 years ago No tags
655c03…ab17cf MODULE/INITIAL_COLD UNDERSHUNT_PROTECTION None 2 years ago 2 years ago No tags
657b4e…34f71a MODULE/INITIAL_COLD UNDERSHUNT_PROTECTION None 2 years ago 2 years ago No tags Selected
655c02…ab17af MODULE/INITIAL_COLD OVERVOLTAGE_PROTECTION None 2 years ago 2 years ago No tags
657b4d…34f400 MODULE/INITIAL_COLD OVERVOLTAGE_PROTECTION None 2 years ago 2 years ago No tags Selected
655c02…ab178f MODULE/INITIAL_COLD LP_MODE None 2 years ago 2 years ago No tags
657b4d…34f3db MODULE/INITIAL_COLD LP_MODE None 2 years ago 2 years ago No tags Selected
655c02…ab1763 MODULE/INITIAL_COLD INJECTION_CAPACITANCE None 2 years ago 2 years ago No tags
657b4d…34f428 MODULE/INITIAL_COLD INJECTION_CAPACITANCE None 2 years ago 2 years ago No tags Selected
655c01…ab1727 MODULE/INITIAL_COLD VCAL_CALIBRATION None 2 years ago 2 years ago No tags
657b4d…34f2df MODULE/INITIAL_COLD VCAL_CALIBRATION None 2 years ago 2 years ago No tags Selected
655c01…ab16eb MODULE/INITIAL_COLD SLDO None 2 years ago 2 years ago No tags
657b4d…34f2a5 MODULE/INITIAL_COLD SLDO None 2 years ago 2 years ago No tags Selected
655bfe…ab1685 MODULE/INITIAL_COLD ANALOG_READBACK None 2 years ago 2 years ago No tags
657b4d…34f365 MODULE/INITIAL_COLD ANALOG_READBACK None 2 years ago 2 years ago No tags Selected
655bf8…ab1626 MODULE/INITIAL_COLD ADC_CALIBRATION None 2 years ago 2 years ago No tags
657b4d…34f279 MODULE/INITIAL_COLD ADC_CALIBRATION None 2 years ago 2 years ago No tags Selected
655bf3…ab1545 MODULE/INITIAL_WARM PIXEL_FAILURE_ANALYSIS None N/A 2 years ago No tags
655bf2…ab140f MODULE/INITIAL_WARM TUNING None N/A 2 years ago No tags
655bee…ab132b MODULE/INITIAL_WARM MIN_HEALTH_TEST None N/A 2 years ago No tags
655bcc…c0428c MODULE/INITIAL_WARM DATA_TRANSMISSION None 2 years ago 2 years ago No tags
657b4b…34f1f5 MODULE/INITIAL_WARM DATA_TRANSMISSION None 2 years ago 2 years ago No tags
669c8b…36d28d MODULE/INITIAL_WARM DATA_TRANSMISSION None 2 years ago 2 years ago No tags
669c8b…36d6ee MODULE/INITIAL_WARM DATA_TRANSMISSION None 2 years ago 2 years ago No tags
655bc9…c04260 MODULE/INITIAL_WARM DATA_TRANSMISSION None 2 years ago 2 years ago No tags
655bc9…c04234 MODULE/INITIAL_WARM DATA_TRANSMISSION None 2 years ago 2 years ago No tags
655801…3c769b MODULE/INITIAL_WARM DATA_TRANSMISSION None 2 years ago 2 years ago No tags
6557f6…e37d0b MODULE/INITIAL_WARM UNDERSHUNT_PROTECTION None 2 years ago 2 years ago No tags
657b4b…34f1d8 MODULE/INITIAL_WARM UNDERSHUNT_PROTECTION None 2 years ago 2 years ago No tags
669c8b…36d270 MODULE/INITIAL_WARM UNDERSHUNT_PROTECTION None 2 years ago 2 years ago No tags
669c8b…36d6c3 MODULE/INITIAL_WARM UNDERSHUNT_PROTECTION None 2 years ago 2 years ago No tags
6557ae…33d3a1 MODULE/INITIAL_WARM ADC_CALIBRATION None 2 years ago 2 years ago No tags
657b4a…34eda8 MODULE/INITIAL_WARM ADC_CALIBRATION None 2 years ago 2 years ago No tags
669c8a…36cc91 MODULE/INITIAL_WARM ADC_CALIBRATION None 2 years ago 2 years ago No tags
669c8a…36cec5 MODULE/INITIAL_WARM ADC_CALIBRATION None 2 years ago 2 years ago No tags
669c8b…36d300 MODULE/INITIAL_WARM ADC_CALIBRATION None 2 years ago 2 years ago No tags Selected
6556ee…33d378 MODULE/INITIAL_WARM OVERVOLTAGE_PROTECTION None 2 years ago 2 years ago No tags
657b4a…34eeb8 MODULE/INITIAL_WARM OVERVOLTAGE_PROTECTION None 2 years ago 2 years ago No tags
669c8a…36cd7f MODULE/INITIAL_WARM OVERVOLTAGE_PROTECTION None 2 years ago 2 years ago No tags
669c8b…36d09f MODULE/INITIAL_WARM OVERVOLTAGE_PROTECTION None 2 years ago 2 years ago No tags
669c8b…36d53a MODULE/INITIAL_WARM OVERVOLTAGE_PROTECTION None 2 years ago 2 years ago No tags Selected
6556ee…33d354 MODULE/INITIAL_WARM LP_MODE None 2 years ago 2 years ago No tags
657b4a…34ee98 MODULE/INITIAL_WARM LP_MODE None 2 years ago 2 years ago No tags
669c8a…36cd5f MODULE/INITIAL_WARM LP_MODE None 2 years ago 2 years ago No tags
669c8a…36d071 MODULE/INITIAL_WARM LP_MODE None 2 years ago 2 years ago No tags
669c8b…36d4f3 MODULE/INITIAL_WARM LP_MODE None 2 years ago 2 years ago No tags Selected
6556b6…5a1862 MODULE/INITIAL_WARM INJECTION_CAPACITANCE None 2 years ago 2 years ago No tags
657b4a…34eee4 MODULE/INITIAL_WARM INJECTION_CAPACITANCE None 2 years ago 2 years ago No tags
669c8a…36cdab MODULE/INITIAL_WARM INJECTION_CAPACITANCE None 2 years ago 2 years ago No tags
669c8b…36d0f2 MODULE/INITIAL_WARM INJECTION_CAPACITANCE None 2 years ago 2 years ago No tags
669c8b…36d57c MODULE/INITIAL_WARM INJECTION_CAPACITANCE None 2 years ago 2 years ago No tags Selected
6556b6…5a1833 MODULE/INITIAL_WARM VCAL_CALIBRATION None 2 years ago 2 years ago No tags
657b4a…34ee07 MODULE/INITIAL_WARM VCAL_CALIBRATION None 2 years ago 2 years ago No tags
669c8a…36ccec MODULE/INITIAL_WARM VCAL_CALIBRATION None 2 years ago 2 years ago No tags
669c8a…36cf81 MODULE/INITIAL_WARM VCAL_CALIBRATION None 2 years ago 2 years ago No tags
669c8b…36d3ca MODULE/INITIAL_WARM VCAL_CALIBRATION None 2 years ago 2 years ago No tags Selected
6556b6…5a1802 MODULE/INITIAL_WARM SLDO None 2 years ago 2 years ago No tags
657b4a…34edd8 MODULE/INITIAL_WARM SLDO None 2 years ago 2 years ago No tags
669c8a…36ccbd MODULE/INITIAL_WARM SLDO None 2 years ago 2 years ago No tags
669c8a…36cf3b MODULE/INITIAL_WARM SLDO None 2 years ago 2 years ago No tags
669c8b…36d377 MODULE/INITIAL_WARM SLDO None 2 years ago 2 years ago No tags Selected
6556b4…5a17be MODULE/INITIAL_WARM ANALOG_READBACK None 2 years ago 2 years ago No tags
657b4a…34ee62 MODULE/INITIAL_WARM ANALOG_READBACK None 2 years ago 2 years ago No tags
669c8a…36cd33 MODULE/INITIAL_WARM ANALOG_READBACK None 2 years ago 2 years ago No tags
669c8a…36cffb MODULE/INITIAL_WARM ANALOG_READBACK None 2 years ago 2 years ago No tags
669c8b…36d459 MODULE/INITIAL_WARM ANALOG_READBACK None 2 years ago 2 years ago No tags Selected
6556af…5a1767 MODULE/INITIAL_WARM ADC_CALIBRATION None 2 years ago 2 years ago No tags
6556a1…5a173b MODULE/INITIAL_WARM ADC_CALIBRATION None 2 years ago 2 years ago No tags
622541…5858aa TESTONWAFER FECHIP_TEST MarkStandke N/A 4 years ago No tags

Hide archived test results.

Run Date Test Type Stage User Site Tags Status
53 a year ago std_mergedbumpscan MODULE/INITIAL_WARM dfellers spikepig.dhcp.lbl.gov PFA Pass
52 a year ago std_discbumpscan MODULE/INITIAL_WARM dfellers spikepig.dhcp.lbl.gov PFA Pass
51 a year ago std_noisescan MODULE/INITIAL_WARM dfellers spikepig.dhcp.lbl.gov PFA Pass
50 a year ago std_thresholdscan_hd MODULE/INITIAL_WARM dfellers spikepig.dhcp.lbl.gov PFA Pass
49 a year ago std_analogscan MODULE/INITIAL_WARM dfellers spikepig.dhcp.lbl.gov PFA Pass
48 a year ago std_digitalscan MODULE/INITIAL_WARM dfellers spikepig.dhcp.lbl.gov PFA Pass
47 a year ago std_totscan MODULE/INITIAL_WARM dfellers spikepig.dhcp.lbl.gov TUN Pass
46 a year ago std_thresholdscan_hd MODULE/INITIAL_WARM dfellers spikepig.dhcp.lbl.gov TUN Pass
45 a year ago std_tune_pixelthreshold MODULE/INITIAL_WARM dfellers spikepig.dhcp.lbl.gov TUN Pass
44 a year ago std_tune_globalthreshold MODULE/INITIAL_WARM dfellers spikepig.dhcp.lbl.gov TUN Pass
43 a year ago std_totscan MODULE/INITIAL_WARM dfellers spikepig.dhcp.lbl.gov TUN Pass
42 a year ago std_thresholdscan_hr MODULE/INITIAL_WARM dfellers spikepig.dhcp.lbl.gov TUN Pass
41 a year ago std_totscan MODULE/INITIAL_WARM dfellers spikepig.dhcp.lbl.gov MHT Pass
40 a year ago std_thresholdscan_hr MODULE/INITIAL_WARM dfellers spikepig.dhcp.lbl.gov MHT Pass
39 a year ago std_analogscan MODULE/INITIAL_WARM dfellers spikepig.dhcp.lbl.gov MHT Pass
38 a year ago std_digitalscan MODULE/INITIAL_WARM dfellers spikepig.dhcp.lbl.gov MHT Pass
18009 a year ago std_mergedbumpscan MODULE/INITIAL_WARM eathompson inkfish.dhcp.lbl.gov PFA Pass
18008 a year ago std_discbumpscan MODULE/INITIAL_WARM eathompson inkfish.dhcp.lbl.gov PFA Pass
18007 a year ago std_noisescan MODULE/INITIAL_WARM eathompson inkfish.dhcp.lbl.gov PFA Pass
18006 a year ago std_thresholdscan_hd MODULE/INITIAL_WARM eathompson inkfish.dhcp.lbl.gov PFA Pass
18005 a year ago std_analogscan MODULE/INITIAL_WARM eathompson inkfish.dhcp.lbl.gov PFA Pass
18004 a year ago std_digitalscan MODULE/INITIAL_WARM eathompson inkfish.dhcp.lbl.gov PFA Pass
18003 a year ago std_totscan MODULE/INITIAL_WARM eathompson inkfish.dhcp.lbl.gov TUN Pass
18002 a year ago std_thresholdscan_hd MODULE/INITIAL_WARM eathompson inkfish.dhcp.lbl.gov TUN Pass
18001 a year ago std_tune_pixelthreshold MODULE/INITIAL_WARM eathompson inkfish.dhcp.lbl.gov TUN Pass
18000 a year ago std_tune_globalthreshold MODULE/INITIAL_WARM eathompson inkfish.dhcp.lbl.gov TUN Pass
17999 a year ago std_totscan MODULE/INITIAL_WARM eathompson inkfish.dhcp.lbl.gov TUN Pass
17998 a year ago std_thresholdscan_hr MODULE/INITIAL_WARM eathompson inkfish.dhcp.lbl.gov TUN Pass
17997 a year ago std_tune_globalthreshold MODULE/INITIAL_WARM eathompson inkfish.dhcp.lbl.gov TUN Pass
17996 a year ago std_totscan MODULE/INITIAL_WARM eathompson inkfish.dhcp.lbl.gov MHT Pass
17995 a year ago std_thresholdscan_hr MODULE/INITIAL_WARM eathompson inkfish.dhcp.lbl.gov MHT Pass
17994 a year ago std_analogscan MODULE/INITIAL_WARM eathompson inkfish.dhcp.lbl.gov MHT Pass
17993 a year ago std_digitalscan MODULE/INITIAL_WARM eathompson inkfish.dhcp.lbl.gov MHT Pass
17913 a year ago std_totscan MODULE/INITIAL_WARM eathompson inkfish.dhcp.lbl.gov No tags Pass
17906 a year ago std_thresholdscan_hr MODULE/INITIAL_WARM eathompson inkfish.dhcp.lbl.gov No tags Pass
17822 a year ago std_digitalscan MODULE/WIREBOND_PROTECTION eathompson inkfish.dhcp.lbl.gov MHT Pass
619 2 years ago std_mergedbumpscan MODULE/POST_PARYLENE_COLD chultquist beakanimal.dhcp.lbl.gov PFA Pass
618 2 years ago std_discbumpscan MODULE/POST_PARYLENE_COLD chultquist beakanimal.dhcp.lbl.gov PFA Pass
617 2 years ago std_noisescan MODULE/POST_PARYLENE_COLD chultquist beakanimal.dhcp.lbl.gov PFA Pass
616 2 years ago std_thresholdscan_hd MODULE/POST_PARYLENE_COLD chultquist beakanimal.dhcp.lbl.gov PFA Pass
615 2 years ago std_analogscan MODULE/POST_PARYLENE_COLD chultquist beakanimal.dhcp.lbl.gov PFA Pass
614 2 years ago std_totscan MODULE/POST_PARYLENE_COLD chultquist beakanimal.dhcp.lbl.gov TUN Pass
613 2 years ago std_thresholdscan_hd MODULE/POST_PARYLENE_COLD chultquist beakanimal.dhcp.lbl.gov TUN Pass
612 2 years ago std_retune_pixelthreshold MODULE/POST_PARYLENE_COLD chultquist beakanimal.dhcp.lbl.gov TUN Pass
611 2 years ago std_retune_globalthreshold MODULE/POST_PARYLENE_COLD chultquist beakanimal.dhcp.lbl.gov TUN Pass
610 2 years ago std_tune_pixelthreshold MODULE/POST_PARYLENE_COLD chultquist beakanimal.dhcp.lbl.gov TUN Pass
609 2 years ago std_tune_globalthreshold MODULE/POST_PARYLENE_COLD chultquist beakanimal.dhcp.lbl.gov TUN Pass
608 2 years ago std_totscan MODULE/POST_PARYLENE_COLD chultquist beakanimal.dhcp.lbl.gov TUN Pass
607 2 years ago std_thresholdscan_hr MODULE/POST_PARYLENE_COLD chultquist beakanimal.dhcp.lbl.gov TUN Pass
606 2 years ago std_tune_globalthreshold MODULE/POST_PARYLENE_COLD chultquist beakanimal.dhcp.lbl.gov TUN Pass
605 2 years ago std_totscan MODULE/POST_PARYLENE_COLD chultquist beakanimal.dhcp.lbl.gov MHT Pass
604 2 years ago std_analogscan MODULE/POST_PARYLENE_COLD chultquist beakanimal.dhcp.lbl.gov MHT Pass
596 2 years ago std_digitalscan MODULE/POST_PARYLENE_COLD chultquist beakanimal.dhcp.lbl.gov PFA Pass
595 2 years ago std_thresholdscan_hr MODULE/POST_PARYLENE_COLD chultquist beakanimal.dhcp.lbl.gov MHT Pass
594 2 years ago std_digitalscan MODULE/POST_PARYLENE_COLD chultquist beakanimal.dhcp.lbl.gov MHT Pass
593 2 years ago std_thresholdscan_zerobias MODULE/POST_PARYLENE_COLD chultquist beakanimal.dhcp.lbl.gov PFA Pass
592 2 years ago std_thresholdscan_hd MODULE/POST_PARYLENE_COLD chultquist beakanimal.dhcp.lbl.gov TUN Pass
591 2 years ago std_thresholdscan_hr MODULE/POST_PARYLENE_COLD chultquist beakanimal.dhcp.lbl.gov MHT Pass
590 2 years ago std_thresholdscan_zerobias MODULE/POST_PARYLENE_COLD chultquist beakanimal.dhcp.lbl.gov PFA Pass
589 2 years ago std_mergedbumpscan MODULE/POST_PARYLENE_COLD chultquist beakanimal.dhcp.lbl.gov PFA Pass
588 2 years ago std_discbumpscan MODULE/POST_PARYLENE_COLD chultquist beakanimal.dhcp.lbl.gov PFA Pass
587 2 years ago std_noisescan MODULE/POST_PARYLENE_COLD chultquist beakanimal.dhcp.lbl.gov PFA Pass
586 2 years ago std_thresholdscan_hd MODULE/POST_PARYLENE_COLD chultquist beakanimal.dhcp.lbl.gov PFA Pass
585 2 years ago std_analogscan MODULE/POST_PARYLENE_COLD chultquist beakanimal.dhcp.lbl.gov PFA Pass
584 2 years ago std_digitalscan MODULE/POST_PARYLENE_COLD chultquist beakanimal.dhcp.lbl.gov PFA Pass
583 2 years ago std_totscan MODULE/POST_PARYLENE_COLD chultquist beakanimal.dhcp.lbl.gov TUN Pass
582 2 years ago std_thresholdscan_hd MODULE/POST_PARYLENE_COLD chultquist beakanimal.dhcp.lbl.gov TUN Pass
581 2 years ago std_retune_pixelthreshold MODULE/POST_PARYLENE_COLD chultquist beakanimal.dhcp.lbl.gov TUN Pass
580 2 years ago std_retune_globalthreshold MODULE/POST_PARYLENE_COLD chultquist beakanimal.dhcp.lbl.gov TUN Pass
579 2 years ago std_tune_pixelthreshold MODULE/POST_PARYLENE_COLD chultquist beakanimal.dhcp.lbl.gov TUN Pass
578 2 years ago std_tune_globalthreshold MODULE/POST_PARYLENE_COLD chultquist beakanimal.dhcp.lbl.gov TUN Pass
577 2 years ago std_totscan MODULE/POST_PARYLENE_COLD chultquist beakanimal.dhcp.lbl.gov TUN Pass
576 2 years ago std_thresholdscan_hr MODULE/POST_PARYLENE_COLD chultquist beakanimal.dhcp.lbl.gov TUN Pass
575 2 years ago std_tune_globalthreshold MODULE/POST_PARYLENE_COLD chultquist beakanimal.dhcp.lbl.gov TUN Pass
574 2 years ago std_totscan MODULE/POST_PARYLENE_COLD chultquist beakanimal.dhcp.lbl.gov MHT Pass
573 2 years ago std_thresholdscan_hr MODULE/POST_PARYLENE_COLD chultquist beakanimal.dhcp.lbl.gov MHT Pass
572 2 years ago std_analogscan MODULE/POST_PARYLENE_COLD chultquist beakanimal.dhcp.lbl.gov MHT Pass
571 2 years ago std_digitalscan MODULE/POST_PARYLENE_COLD chultquist beakanimal.dhcp.lbl.gov MHT Pass
559 2 years ago std_thresholdscan_zerobias MODULE/POST_PARYLENE_WARM chultquist beakanimal.dhcp.lbl.gov PFA Pass
558 2 years ago std_mergedbumpscan MODULE/POST_PARYLENE_WARM chultquist beakanimal.dhcp.lbl.gov PFA Pass
557 2 years ago std_discbumpscan MODULE/POST_PARYLENE_WARM chultquist beakanimal.dhcp.lbl.gov PFA Pass
556 2 years ago std_noisescan MODULE/POST_PARYLENE_WARM chultquist beakanimal.dhcp.lbl.gov PFA Pass
555 2 years ago std_thresholdscan_hd MODULE/POST_PARYLENE_WARM chultquist beakanimal.dhcp.lbl.gov PFA Pass
554 2 years ago std_analogscan MODULE/POST_PARYLENE_WARM chultquist beakanimal.dhcp.lbl.gov PFA Pass
553 2 years ago std_digitalscan MODULE/POST_PARYLENE_WARM chultquist beakanimal.dhcp.lbl.gov PFA Pass
552 2 years ago std_totscan MODULE/POST_PARYLENE_WARM chultquist beakanimal.dhcp.lbl.gov TUN Pass
551 2 years ago std_thresholdscan_hd MODULE/POST_PARYLENE_WARM chultquist beakanimal.dhcp.lbl.gov TUN Pass
550 2 years ago std_retune_pixelthreshold MODULE/POST_PARYLENE_WARM chultquist beakanimal.dhcp.lbl.gov TUN Pass
549 2 years ago std_retune_globalthreshold MODULE/POST_PARYLENE_WARM chultquist beakanimal.dhcp.lbl.gov TUN Pass
548 2 years ago std_tune_pixelthreshold MODULE/POST_PARYLENE_WARM chultquist beakanimal.dhcp.lbl.gov TUN Pass
547 2 years ago std_tune_globalthreshold MODULE/POST_PARYLENE_WARM chultquist beakanimal.dhcp.lbl.gov TUN Pass
546 2 years ago std_totscan MODULE/POST_PARYLENE_WARM chultquist beakanimal.dhcp.lbl.gov TUN Pass
545 2 years ago std_thresholdscan_hr MODULE/POST_PARYLENE_WARM chultquist beakanimal.dhcp.lbl.gov TUN Pass
544 2 years ago std_tune_globalthreshold MODULE/POST_PARYLENE_WARM chultquist beakanimal.dhcp.lbl.gov TUN Pass
543 2 years ago std_totscan MODULE/POST_PARYLENE_WARM chultquist beakanimal.dhcp.lbl.gov MHT Pass
542 2 years ago std_thresholdscan_hr MODULE/POST_PARYLENE_WARM chultquist beakanimal.dhcp.lbl.gov MHT Pass
541 2 years ago std_analogscan MODULE/POST_PARYLENE_WARM chultquist beakanimal.dhcp.lbl.gov MHT Pass
540 2 years ago std_digitalscan MODULE/POST_PARYLENE_WARM chultquist beakanimal.dhcp.lbl.gov MHT Pass
537 2 years ago std_tune_globalthreshold MODULE/POST_PARYLENE_WARM chultquist beakanimal.dhcp.lbl.gov TUN Pass
536 2 years ago std_totscan MODULE/POST_PARYLENE_WARM chultquist beakanimal.dhcp.lbl.gov MHT Pass
535 2 years ago std_thresholdscan_hr MODULE/POST_PARYLENE_WARM chultquist beakanimal.dhcp.lbl.gov MHT Pass
534 2 years ago std_analogscan MODULE/POST_PARYLENE_WARM chultquist beakanimal.dhcp.lbl.gov MHT Pass
533 2 years ago std_digitalscan MODULE/POST_PARYLENE_WARM chultquist beakanimal.dhcp.lbl.gov MHT Pass
451 2 years ago std_thresholdscan_zerobias MODULE/INITIAL_COLD chultquist beakanimal.dhcp.lbl.gov PFA Pass
450 2 years ago std_mergedbumpscan MODULE/INITIAL_COLD chultquist beakanimal.dhcp.lbl.gov PFA Pass
449 2 years ago std_discbumpscan MODULE/INITIAL_COLD chultquist beakanimal.dhcp.lbl.gov PFA Pass
448 2 years ago std_noisescan MODULE/INITIAL_COLD chultquist beakanimal.dhcp.lbl.gov PFA Pass
447 2 years ago std_thresholdscan_hd MODULE/INITIAL_COLD chultquist beakanimal.dhcp.lbl.gov PFA Pass
446 2 years ago std_analogscan MODULE/INITIAL_COLD chultquist beakanimal.dhcp.lbl.gov PFA Pass
445 2 years ago std_digitalscan MODULE/INITIAL_COLD chultquist beakanimal.dhcp.lbl.gov PFA Pass
444 2 years ago std_totscan MODULE/INITIAL_COLD chultquist beakanimal.dhcp.lbl.gov TUN Pass
443 2 years ago std_thresholdscan_hd MODULE/INITIAL_COLD chultquist beakanimal.dhcp.lbl.gov TUN Pass
442 2 years ago std_retune_pixelthreshold MODULE/INITIAL_COLD chultquist beakanimal.dhcp.lbl.gov TUN Pass
441 2 years ago std_retune_globalthreshold MODULE/INITIAL_COLD chultquist beakanimal.dhcp.lbl.gov TUN Pass
440 2 years ago std_tune_pixelthreshold MODULE/INITIAL_COLD chultquist beakanimal.dhcp.lbl.gov TUN Pass
439 2 years ago std_tune_globalthreshold MODULE/INITIAL_COLD chultquist beakanimal.dhcp.lbl.gov TUN Pass
438 2 years ago std_totscan MODULE/INITIAL_COLD chultquist beakanimal.dhcp.lbl.gov TUN Pass
437 2 years ago std_thresholdscan_hr MODULE/INITIAL_COLD chultquist beakanimal.dhcp.lbl.gov TUN Pass
436 2 years ago std_tune_globalthreshold MODULE/INITIAL_COLD chultquist beakanimal.dhcp.lbl.gov TUN Pass
435 2 years ago std_totscan MODULE/INITIAL_COLD chultquist beakanimal.dhcp.lbl.gov MHT Pass
434 2 years ago std_thresholdscan_hr MODULE/INITIAL_COLD chultquist beakanimal.dhcp.lbl.gov MHT Pass
433 2 years ago std_analogscan MODULE/INITIAL_COLD chultquist beakanimal.dhcp.lbl.gov MHT Pass
432 2 years ago std_digitalscan MODULE/INITIAL_COLD chultquist beakanimal.dhcp.lbl.gov MHT Pass
416 2 years ago std_thresholdscan_zerobias MODULE/INITIAL_WARM chultquist beakanimal.dhcp.lbl.gov PFA Pass
415 2 years ago std_mergedbumpscan MODULE/INITIAL_WARM chultquist beakanimal.dhcp.lbl.gov PFA Pass
414 2 years ago std_discbumpscan MODULE/INITIAL_WARM chultquist beakanimal.dhcp.lbl.gov PFA Pass
413 2 years ago std_noisescan MODULE/INITIAL_WARM chultquist beakanimal.dhcp.lbl.gov PFA Pass
412 2 years ago std_thresholdscan_hd MODULE/INITIAL_WARM chultquist beakanimal.dhcp.lbl.gov PFA Pass
411 2 years ago std_analogscan MODULE/INITIAL_WARM chultquist beakanimal.dhcp.lbl.gov PFA Pass
410 2 years ago std_digitalscan MODULE/INITIAL_WARM chultquist beakanimal.dhcp.lbl.gov PFA Pass
409 2 years ago std_totscan MODULE/INITIAL_WARM chultquist beakanimal.dhcp.lbl.gov TUN Pass
408 2 years ago std_thresholdscan_hd MODULE/INITIAL_WARM chultquist beakanimal.dhcp.lbl.gov TUN Pass
407 2 years ago std_retune_pixelthreshold MODULE/INITIAL_WARM chultquist beakanimal.dhcp.lbl.gov TUN Pass
406 2 years ago std_retune_globalthreshold MODULE/INITIAL_WARM chultquist beakanimal.dhcp.lbl.gov TUN Pass
405 2 years ago std_tune_pixelthreshold MODULE/INITIAL_WARM chultquist beakanimal.dhcp.lbl.gov TUN Pass
404 2 years ago std_tune_globalthreshold MODULE/INITIAL_WARM chultquist beakanimal.dhcp.lbl.gov TUN Pass
403 2 years ago std_totscan MODULE/INITIAL_WARM chultquist beakanimal.dhcp.lbl.gov TUN Pass
402 2 years ago std_thresholdscan_hr MODULE/INITIAL_WARM chultquist beakanimal.dhcp.lbl.gov TUN Pass
401 2 years ago std_tune_globalthreshold MODULE/INITIAL_WARM chultquist beakanimal.dhcp.lbl.gov TUN Pass
400 2 years ago std_totscan MODULE/INITIAL_WARM chultquist beakanimal.dhcp.lbl.gov MHT Pass
399 2 years ago std_thresholdscan_hr MODULE/INITIAL_WARM chultquist beakanimal.dhcp.lbl.gov MHT Pass
398 2 years ago std_analogscan MODULE/INITIAL_WARM chultquist beakanimal.dhcp.lbl.gov MHT Pass
397 2 years ago std_digitalscan MODULE/INITIAL_WARM chultquist beakanimal.dhcp.lbl.gov MHT Pass

Stage: MODULE/WIREBOND_PROTECTION

Mode: warm
Index Revision ID Timestamp Message
HEAD 6656...7e6a86 a year ago Submitted by YARR-dbAccessor (hostname: inkfish.dhcp.lbl.gov, user: eathompson)
HEAD^1 6580...b326be 2 years ago downloaded from ITkPD : code = 02b9a8eee78fbfc04dd570eeac1435b5, description = {"_id":"654288663faab532f97d1346","serialNumber":"20UPGFC0087210","stage":"MODULE/INITIAL_WARM","branch":"warm","current_revision_id":"655bd80b0d1479420310162a"}
Mode: cold
Index Revision ID Timestamp Message
HEAD 6580...b326c0 2 years ago downloaded from ITkPD : code = bb2d2b0bb888370d5d12b9e93adb7fc7, description = {"_id":"654288663faab532f97d134e","serialNumber":"20UPGFC0087210","stage":"MODULE/INITIAL_WARM","branch":"cold","current_revision_id":"654288663faab532f97d134f"}
Mode: LP
Index Revision ID Timestamp Message
HEAD 6580...b326c2 2 years ago downloaded from ITkPD : code = d8eade4f956e36994df60d74ea1b6689, description = {"_id":"654288673faab532f97d1356","serialNumber":"20UPGFC0087210","stage":"MODULE/INITIAL_WARM","branch":"LP","current_revision_id":"6556ee45d78c45303f33d355"}

Stage: MODULE/POST_PARYLENE_COLD

Mode: warm
Index Revision ID Timestamp Message
HEAD 657b...fbb3a7 2 years ago downloaded from ITkPD : code = 02b9a8eee78fbfc04dd570eeac1435b5, description = {"_id":"654288663faab532f97d1346","serialNumber":"20UPGFC0087210","stage":"MODULE/INITIAL_WARM","branch":"warm","current_revision_id":"655bd80b0d1479420310162a"}
Mode: cold
Index Revision ID Timestamp Message
HEAD 657c...f62bb7 2 years ago Submitted by YARR-dbAccessor (hostname: beakanimal.dhcp.lbl.gov, user: chultquist)
HEAD^1 657c...be5abb 2 years ago Submitted by YARR-dbAccessor (hostname: beakanimal.dhcp.lbl.gov, user: chultquist)
HEAD^2 657c...a36080 2 years ago Submitted by YARR-dbAccessor (hostname: beakanimal.dhcp.lbl.gov, user: chultquist)
HEAD^3 657c...6204bf 2 years ago Submitted by YARR-dbAccessor (hostname: beakanimal.dhcp.lbl.gov, user: chultquist)
HEAD^4 657c...57d8d1 2 years ago Submitted by YARR-dbAccessor (hostname: beakanimal.dhcp.lbl.gov, user: chultquist)
HEAD^5 657c...800a2a 2 years ago Submitted by YARR-dbAccessor (hostname: beakanimal.dhcp.lbl.gov, user: chultquist)
HEAD^6 657c...5c61a4 2 years ago Submitted by YARR-dbAccessor (hostname: beakanimal.dhcp.lbl.gov, user: chultquist)
HEAD^7 657c...0d8410 2 years ago Submitted by YARR-dbAccessor (hostname: beakanimal.dhcp.lbl.gov, user: chultquist)
HEAD^8 657c...887137 2 years ago Submitted by YARR-dbAccessor (hostname: beakanimal.dhcp.lbl.gov, user: chultquist)
HEAD^9 657c...2c8bbd 2 years ago Submitted by YARR-dbAccessor (hostname: beakanimal.dhcp.lbl.gov, user: chultquist)
HEAD^10 657c...0b8a35 2 years ago Submitted by YARR-dbAccessor (hostname: beakanimal.dhcp.lbl.gov, user: chultquist)
HEAD^11 657c...221f1b 2 years ago Submitted by YARR-dbAccessor (hostname: beakanimal.dhcp.lbl.gov, user: chultquist)
HEAD^12 657c...a9bc87 2 years ago Submitted by YARR-dbAccessor (hostname: beakanimal.dhcp.lbl.gov, user: chultquist)
HEAD^13 657c...229168 2 years ago Submitted by YARR-dbAccessor (hostname: beakanimal.dhcp.lbl.gov, user: chultquist)
HEAD^14 657c...d2ec52 2 years ago Submitted by YARR-dbAccessor (hostname: beakanimal.dhcp.lbl.gov, user: chultquist)
HEAD^15 657c...cf93c3 2 years ago Submitted by YARR-dbAccessor (hostname: beakanimal.dhcp.lbl.gov, user: chultquist)
HEAD^16 657c...a9a4d2 2 years ago Submitted by YARR-dbAccessor (hostname: beakanimal.dhcp.lbl.gov, user: chultquist)
HEAD^17 657c...ab0de9 2 years ago Submitted by YARR-dbAccessor (hostname: beakanimal.dhcp.lbl.gov, user: chultquist)
HEAD^18 657c...828f81 2 years ago Submitted by YARR-dbAccessor (hostname: beakanimal.dhcp.lbl.gov, user: chultquist)
HEAD^19 657c...527ba1 2 years ago Submitted by YARR-dbAccessor (hostname: beakanimal.dhcp.lbl.gov, user: chultquist)
HEAD^20 657c...b054c7 2 years ago Submitted by YARR-dbAccessor (hostname: beakanimal.dhcp.lbl.gov, user: chultquist)
HEAD^21 657c...56f1a2 2 years ago Submitted by YARR-dbAccessor (hostname: beakanimal.dhcp.lbl.gov, user: chultquist)
HEAD^22 657b...6fef90 2 years ago Submitted by YARR-dbAccessor (hostname: beakanimal.dhcp.lbl.gov, user: chultquist)
HEAD^23 657b...0f4148 2 years ago Submitted by YARR-dbAccessor (hostname: beakanimal.dhcp.lbl.gov, user: chultquist)
HEAD^24 657b...38a6d5 2 years ago Submitted by YARR-dbAccessor (hostname: beakanimal.dhcp.lbl.gov, user: chultquist)
HEAD^25 657b...5047b8 2 years ago Submitted by YARR-dbAccessor (hostname: beakanimal.dhcp.lbl.gov, user: chultquist)
HEAD^26 657b...e0a27f 2 years ago Submitted by YARR-dbAccessor (hostname: beakanimal.dhcp.lbl.gov, user: chultquist)
HEAD^27 657b...e37447 2 years ago Submitted by YARR-dbAccessor (hostname: beakanimal.dhcp.lbl.gov, user: chultquist)
HEAD^28 657b...5746f3 2 years ago Submitted by YARR-dbAccessor (hostname: beakanimal.dhcp.lbl.gov, user: chultquist)
HEAD^29 657b...decb70 2 years ago Submitted by YARR-dbAccessor (hostname: beakanimal.dhcp.lbl.gov, user: chultquist)
HEAD^30 657b...4fab1a 2 years ago Submitted by YARR-dbAccessor (hostname: beakanimal.dhcp.lbl.gov, user: chultquist)
HEAD^31 657b...428857 2 years ago Submitted by YARR-dbAccessor (hostname: beakanimal.dhcp.lbl.gov, user: chultquist)
HEAD^32 657b...14358a 2 years ago Submitted by YARR-dbAccessor (hostname: beakanimal.dhcp.lbl.gov, user: chultquist)
HEAD^33 657b...3a974f 2 years ago Submitted by YARR-dbAccessor (hostname: beakanimal.dhcp.lbl.gov, user: chultquist)
HEAD^34 657b...34b51d 2 years ago Submitted by YARR-dbAccessor (hostname: beakanimal.dhcp.lbl.gov, user: chultquist)
HEAD^35 657b...ddcae7 2 years ago Submitted by YARR-dbAccessor (hostname: beakanimal.dhcp.lbl.gov, user: chultquist)
HEAD^36 657b...a1676e 2 years ago Submitted by YARR-dbAccessor (hostname: beakanimal.dhcp.lbl.gov, user: chultquist)
HEAD^37 657b...7633d1 2 years ago Submitted by YARR-dbAccessor (hostname: beakanimal.dhcp.lbl.gov, user: chultquist)
HEAD^38 657b...a84aac 2 years ago Submitted by YARR-dbAccessor (hostname: beakanimal.dhcp.lbl.gov, user: chultquist)
HEAD^39 657b...fbb866 2 years ago config revision by DATA-TRANSMISSION with RAW data 657bb542470c358679fbb85c and analysis result 657bb544470c358679fbb865
HEAD^40 657b...fbb83e 2 years ago config revision by UNDERSHUNT-PROTECTION with RAW data 657bb525470c358679fbb836 and analysis result 657bb528470c358679fbb83d
HEAD^41 657b...fbb81a 2 years ago config revision by OVERVOLTAGE-PROTECTION with RAW data 657bb461470c358679fbb812 and analysis result 657bb464470c358679fbb819
HEAD^42 657b...fbb7c6 2 years ago config revision by INJECTION-CAPACITANCE with RAW data 657bb2f8470c358679fbb7b8 and analysis result 657bb2fb470c358679fbb7c5
HEAD^43 657b...fbb786 2 years ago config revision by VCAL-CALIBRATION with RAW data 657bb256470c358679fbb776 and analysis result 657bb25a470c358679fbb785
HEAD^44 657b...fbb746 2 years ago config revision by SLDO with RAW data 657bb1dd470c358679fbb738 and analysis result 657bb1e1470c358679fbb745
HEAD^45 657b...fbb6dc 2 years ago config revision by ANALOG-READBACK with RAW data 657baf96470c358679fbb6b7 and analysis result 657bafa1470c358679fbb6db
HEAD^46 657b...fbb3cf 2 years ago config revision by ADC-CALIBRATION with RAW data 657ba757470c358679fbb3c5 and analysis result 657ba75a470c358679fbb3ce
HEAD^47 657b...fbb3a9 2 years ago downloaded from ITkPD : code = bb2d2b0bb888370d5d12b9e93adb7fc7, description = {"_id":"654288663faab532f97d134e","serialNumber":"20UPGFC0087210","stage":"MODULE/INITIAL_WARM","branch":"cold","current_revision_id":"654288663faab532f97d134f"}
Mode: LP
Index Revision ID Timestamp Message
HEAD 657b...fbb7f6 2 years ago config revision by LP-MODE with RAW data 657bb419470c358679fbb7ee and analysis result 657bb41b470c358679fbb7f5
HEAD^1 657b...fbb3ab 2 years ago downloaded from ITkPD : code = d8eade4f956e36994df60d74ea1b6689, description = {"_id":"654288673faab532f97d1356","serialNumber":"20UPGFC0087210","stage":"MODULE/INITIAL_WARM","branch":"LP","current_revision_id":"6556ee45d78c45303f33d355"}

Stage: MODULE/POST_PARYLENE_WARM

Mode: warm
Index Revision ID Timestamp Message
HEAD 657b...b488ec 2 years ago Submitted by YARR-dbAccessor (hostname: beakanimal.dhcp.lbl.gov, user: chultquist)
HEAD^1 657b...1ec00a 2 years ago Submitted by YARR-dbAccessor (hostname: beakanimal.dhcp.lbl.gov, user: chultquist)
HEAD^2 657b...0e8822 2 years ago Submitted by YARR-dbAccessor (hostname: beakanimal.dhcp.lbl.gov, user: chultquist)
HEAD^3 657b...f288c9 2 years ago Submitted by YARR-dbAccessor (hostname: beakanimal.dhcp.lbl.gov, user: chultquist)
HEAD^4 657b...92ba43 2 years ago Submitted by YARR-dbAccessor (hostname: beakanimal.dhcp.lbl.gov, user: chultquist)
HEAD^5 657b...37e357 2 years ago Submitted by YARR-dbAccessor (hostname: beakanimal.dhcp.lbl.gov, user: chultquist)
HEAD^6 657b...075ff0 2 years ago Submitted by YARR-dbAccessor (hostname: beakanimal.dhcp.lbl.gov, user: chultquist)
HEAD^7 657b...968549 2 years ago Submitted by YARR-dbAccessor (hostname: beakanimal.dhcp.lbl.gov, user: chultquist)
HEAD^8 657b...eeb57d 2 years ago Submitted by YARR-dbAccessor (hostname: beakanimal.dhcp.lbl.gov, user: chultquist)
HEAD^9 657b...850b8d 2 years ago Submitted by YARR-dbAccessor (hostname: beakanimal.dhcp.lbl.gov, user: chultquist)
HEAD^10 657b...7b3078 2 years ago Submitted by YARR-dbAccessor (hostname: beakanimal.dhcp.lbl.gov, user: chultquist)
HEAD^11 657b...e50bf9 2 years ago Submitted by YARR-dbAccessor (hostname: beakanimal.dhcp.lbl.gov, user: chultquist)
HEAD^12 657b...235ec8 2 years ago Submitted by YARR-dbAccessor (hostname: beakanimal.dhcp.lbl.gov, user: chultquist)
HEAD^13 657b...a5cd38 2 years ago Submitted by YARR-dbAccessor (hostname: beakanimal.dhcp.lbl.gov, user: chultquist)
HEAD^14 657b...06300b 2 years ago Submitted by YARR-dbAccessor (hostname: beakanimal.dhcp.lbl.gov, user: chultquist)
HEAD^15 657b...a49132 2 years ago Submitted by YARR-dbAccessor (hostname: beakanimal.dhcp.lbl.gov, user: chultquist)
HEAD^16 657b...2ec7e5 2 years ago Submitted by YARR-dbAccessor (hostname: beakanimal.dhcp.lbl.gov, user: chultquist)
HEAD^17 657b...86ac4e 2 years ago Submitted by YARR-dbAccessor (hostname: beakanimal.dhcp.lbl.gov, user: chultquist)
HEAD^18 657b...ac796d 2 years ago Submitted by YARR-dbAccessor (hostname: beakanimal.dhcp.lbl.gov, user: chultquist)
HEAD^19 657b...759377 2 years ago Submitted by YARR-dbAccessor (hostname: beakanimal.dhcp.lbl.gov, user: chultquist)
HEAD^20 657b...34f77b 2 years ago downloaded from ITkPD : code = 02b9a8eee78fbfc04dd570eeac1435b5, description = {"_id":"654288663faab532f97d1346","serialNumber":"20UPGFC0087210","stage":"MODULE/INITIAL_WARM","branch":"warm","current_revision_id":"655bd80b0d1479420310162a"}
HEAD^21 657b...932eae 2 years ago Submitted by YARR-dbAccessor (hostname: beakanimal.dhcp.lbl.gov, user: chultquist)
HEAD^22 657b...db6abe 2 years ago Submitted by YARR-dbAccessor (hostname: beakanimal.dhcp.lbl.gov, user: chultquist)
HEAD^23 657b...5f1044 2 years ago Submitted by YARR-dbAccessor (hostname: beakanimal.dhcp.lbl.gov, user: chultquist)
HEAD^24 657b...34f228 2 years ago downloaded from ITkPD : code = 074f50cfc09942f18f6a7d805c49c63e, description = {"_id":"654288663faab532f97d1346","serialNumber":"20UPGFC0087210","stage":"MODULE/INITIAL_WARM","branch":"warm","current_revision_id":"655bd80b0d1479420310162a"}
HEAD^25 655e...8936ae 2 years ago downloaded from ITkPD : code = 3a6998e4d9c44916fe62c42e59d59563, description = {"_id":"654288663faab532f97d1346","serialNumber":"20UPGFC0087210","stage":"MODULE/INITIAL_WARM","branch":"warm","current_revision_id":"655bd80b0d1479420310162a"}
Mode: cold
Index Revision ID Timestamp Message
HEAD 657b...34f77c 2 years ago downloaded from ITkPD : code = bb2d2b0bb888370d5d12b9e93adb7fc7, description = {"_id":"654288663faab532f97d134e","serialNumber":"20UPGFC0087210","stage":"MODULE/INITIAL_WARM","branch":"cold","current_revision_id":"654288663faab532f97d134f"}
HEAD^1 657b...34f229 2 years ago downloaded from ITkPD : code = bb2d2b0bb888370d5d12b9e93adb7fc7, description = {"_id":"654288663faab532f97d134e","serialNumber":"20UPGFC0087210","stage":"MODULE/INITIAL_WARM","branch":"cold","current_revision_id":"654288663faab532f97d134f"}
HEAD^2 655e...8936c4 2 years ago downloaded from ITkPD : code = bb2d2b0bb888370d5d12b9e93adb7fc7, description = {"_id":"654288663faab532f97d134e","serialNumber":"20UPGFC0087210","stage":"MODULE/INITIAL_WARM","branch":"cold","current_revision_id":"654288663faab532f97d134f"}
HEAD^3 655e...8936b0 2 years ago downloaded from ITkPD : code = bb2d2b0bb888370d5d12b9e93adb7fc7, description = {"_id":"654288663faab532f97d134e","serialNumber":"20UPGFC0087210","stage":"MODULE/INITIAL_WARM","branch":"cold","current_revision_id":"654288663faab532f97d134f"}
Mode: LP
Index Revision ID Timestamp Message
HEAD 657b...34f77d 2 years ago downloaded from ITkPD : code = d8eade4f956e36994df60d74ea1b6689, description = {"_id":"654288673faab532f97d1356","serialNumber":"20UPGFC0087210","stage":"MODULE/INITIAL_WARM","branch":"LP","current_revision_id":"6556ee45d78c45303f33d355"}
HEAD^1 657b...34f22a 2 years ago downloaded from ITkPD : code = d8eade4f956e36994df60d74ea1b6689, description = {"_id":"654288673faab532f97d1356","serialNumber":"20UPGFC0087210","stage":"MODULE/INITIAL_WARM","branch":"LP","current_revision_id":"6556ee45d78c45303f33d355"}
HEAD^2 655e...8936c5 2 years ago downloaded from ITkPD : code = d8eade4f956e36994df60d74ea1b6689, description = {"_id":"654288673faab532f97d1356","serialNumber":"20UPGFC0087210","stage":"MODULE/INITIAL_WARM","branch":"LP","current_revision_id":"6556ee45d78c45303f33d355"}
HEAD^3 655e...8936b2 2 years ago downloaded from ITkPD : code = d8eade4f956e36994df60d74ea1b6689, description = {"_id":"654288673faab532f97d1356","serialNumber":"20UPGFC0087210","stage":"MODULE/INITIAL_WARM","branch":"LP","current_revision_id":"6556ee45d78c45303f33d355"}

Stage: MODULE/PARYLENE_UNMASKING

Mode: warm
Index Revision ID Timestamp Message
HEAD 655d...093b17 2 years ago downloaded from ITkPD : code = 3a6998e4d9c44916fe62c42e59d59563, description = {"_id":"654288663faab532f97d1346","serialNumber":"20UPGFC0087210","stage":"MODULE/INITIAL_WARM","branch":"warm","current_revision_id":"655bd80b0d1479420310162a"}
Mode: cold
Index Revision ID Timestamp Message
HEAD 655d...093b2b 2 years ago downloaded from ITkPD : code = bb2d2b0bb888370d5d12b9e93adb7fc7, description = {"_id":"654288663faab532f97d134e","serialNumber":"20UPGFC0087210","stage":"MODULE/INITIAL_WARM","branch":"cold","current_revision_id":"654288663faab532f97d134f"}
HEAD^1 655d...093b19 2 years ago downloaded from ITkPD : code = bb2d2b0bb888370d5d12b9e93adb7fc7, description = {"_id":"654288663faab532f97d134e","serialNumber":"20UPGFC0087210","stage":"MODULE/INITIAL_WARM","branch":"cold","current_revision_id":"654288663faab532f97d134f"}
Mode: LP
Index Revision ID Timestamp Message
HEAD 655d...093b2c 2 years ago downloaded from ITkPD : code = d8eade4f956e36994df60d74ea1b6689, description = {"_id":"654288673faab532f97d1356","serialNumber":"20UPGFC0087210","stage":"MODULE/INITIAL_WARM","branch":"LP","current_revision_id":"6556ee45d78c45303f33d355"}
HEAD^1 655d...093b1b 2 years ago downloaded from ITkPD : code = d8eade4f956e36994df60d74ea1b6689, description = {"_id":"654288673faab532f97d1356","serialNumber":"20UPGFC0087210","stage":"MODULE/INITIAL_WARM","branch":"LP","current_revision_id":"6556ee45d78c45303f33d355"}

Stage: MODULE/PARYLENE_MASKING

Mode: warm
Index Revision ID Timestamp Message
HEAD 655d...093afa 2 years ago downloaded from ITkPD : code = 3a6998e4d9c44916fe62c42e59d59563, description = {"_id":"654288663faab532f97d1346","serialNumber":"20UPGFC0087210","stage":"MODULE/INITIAL_WARM","branch":"warm","current_revision_id":"655bd80b0d1479420310162a"}
Mode: cold
Index Revision ID Timestamp Message
HEAD 655d...093afc 2 years ago downloaded from ITkPD : code = bb2d2b0bb888370d5d12b9e93adb7fc7, description = {"_id":"654288663faab532f97d134e","serialNumber":"20UPGFC0087210","stage":"MODULE/INITIAL_WARM","branch":"cold","current_revision_id":"654288663faab532f97d134f"}
Mode: LP
Index Revision ID Timestamp Message
HEAD 655d...093afe 2 years ago downloaded from ITkPD : code = d8eade4f956e36994df60d74ea1b6689, description = {"_id":"654288673faab532f97d1356","serialNumber":"20UPGFC0087210","stage":"MODULE/INITIAL_WARM","branch":"LP","current_revision_id":"6556ee45d78c45303f33d355"}

Stage: MODULE/INITIAL_COLD

Mode: warm
Index Revision ID Timestamp Message
HEAD 655d...4017c5 2 years ago copied from serialNumber 20UPGFC0087210, stage MODULE/INITIAL_WARM, branch warm, revision 655bd80b0d1479420310162a, and the config_data was uploaded to ITkPD
Mode: cold
Index Revision ID Timestamp Message
HEAD 655d...46e6c9 2 years ago Submitted by YARR-dbAccessor (hostname: beakanimal.dhcp.lbl.gov, user: chultquist)
HEAD^1 655d...c53501 2 years ago Submitted by YARR-dbAccessor (hostname: beakanimal.dhcp.lbl.gov, user: chultquist)
HEAD^2 655d...eab962 2 years ago Submitted by YARR-dbAccessor (hostname: beakanimal.dhcp.lbl.gov, user: chultquist)
HEAD^3 655d...f6b84e 2 years ago Submitted by YARR-dbAccessor (hostname: beakanimal.dhcp.lbl.gov, user: chultquist)
HEAD^4 655d...e2247e 2 years ago Submitted by YARR-dbAccessor (hostname: beakanimal.dhcp.lbl.gov, user: chultquist)
HEAD^5 655d...f0f047 2 years ago Submitted by YARR-dbAccessor (hostname: beakanimal.dhcp.lbl.gov, user: chultquist)
HEAD^6 655d...6c09e7 2 years ago Submitted by YARR-dbAccessor (hostname: beakanimal.dhcp.lbl.gov, user: chultquist)
HEAD^7 655d...14b1a8 2 years ago Submitted by YARR-dbAccessor (hostname: beakanimal.dhcp.lbl.gov, user: chultquist)
HEAD^8 655d...af19e7 2 years ago Submitted by YARR-dbAccessor (hostname: beakanimal.dhcp.lbl.gov, user: chultquist)
HEAD^9 655d...3908b9 2 years ago Submitted by YARR-dbAccessor (hostname: beakanimal.dhcp.lbl.gov, user: chultquist)
HEAD^10 655d...4fd7d8 2 years ago Submitted by YARR-dbAccessor (hostname: beakanimal.dhcp.lbl.gov, user: chultquist)
HEAD^11 655d...aefa6f 2 years ago Submitted by YARR-dbAccessor (hostname: beakanimal.dhcp.lbl.gov, user: chultquist)
HEAD^12 655d...c5a26f 2 years ago Submitted by YARR-dbAccessor (hostname: beakanimal.dhcp.lbl.gov, user: chultquist)
HEAD^13 655d...14f5e8 2 years ago Submitted by YARR-dbAccessor (hostname: beakanimal.dhcp.lbl.gov, user: chultquist)
HEAD^14 655d...4e9ebc 2 years ago Submitted by YARR-dbAccessor (hostname: beakanimal.dhcp.lbl.gov, user: chultquist)
HEAD^15 655d...927d3c 2 years ago Submitted by YARR-dbAccessor (hostname: beakanimal.dhcp.lbl.gov, user: chultquist)
HEAD^16 655d...5e47cc 2 years ago Submitted by YARR-dbAccessor (hostname: beakanimal.dhcp.lbl.gov, user: chultquist)
HEAD^17 655d...6bb858 2 years ago Submitted by YARR-dbAccessor (hostname: beakanimal.dhcp.lbl.gov, user: chultquist)
HEAD^18 655d...4017c7 2 years ago copied from serialNumber 20UPGFC0087210, stage MODULE/INITIAL_WARM, branch cold, revision 654288663faab532f97d134f, and the config_data was uploaded to ITkPD
Mode: LP
Index Revision ID Timestamp Message
HEAD 655d...4017c9 2 years ago copied from serialNumber 20UPGFC0087210, stage MODULE/INITIAL_WARM, branch LP, revision 6556ee45d78c45303f33d355, and the config_data was uploaded to ITkPD

Stage: MODULE/INITIAL_WARM

Mode: warm
Index Revision ID Timestamp Message
HEAD 6718...7b093f a year ago config revision by ADC-CALIBRATION with RAW data 66f44fd3ccf5a40aa862726d and analysis result 67180fa42f6ccc2b1c7b0937
HEAD^1 66f4...b1ffe8 a year ago Submitted by YARR-dbAccessor (hostname: spikepig.dhcp.lbl.gov, user: dfellers)
HEAD^2 66f4...185f94 a year ago Submitted by YARR-dbAccessor (hostname: spikepig.dhcp.lbl.gov, user: dfellers)
HEAD^3 66f4...dad872 a year ago Submitted by YARR-dbAccessor (hostname: spikepig.dhcp.lbl.gov, user: dfellers)
HEAD^4 66f4...ebecde a year ago Submitted by YARR-dbAccessor (hostname: spikepig.dhcp.lbl.gov, user: dfellers)
HEAD^5 66f4...f72546 a year ago Submitted by YARR-dbAccessor (hostname: spikepig.dhcp.lbl.gov, user: dfellers)
HEAD^6 66f4...4cc2a2 a year ago Submitted by YARR-dbAccessor (hostname: spikepig.dhcp.lbl.gov, user: dfellers)
HEAD^7 66f4...f19d51 a year ago Submitted by YARR-dbAccessor (hostname: spikepig.dhcp.lbl.gov, user: dfellers)
HEAD^8 66f4...48188f a year ago Submitted by YARR-dbAccessor (hostname: spikepig.dhcp.lbl.gov, user: dfellers)
HEAD^9 66f4...16e743 a year ago Submitted by YARR-dbAccessor (hostname: spikepig.dhcp.lbl.gov, user: dfellers)
HEAD^10 66f4...594a06 a year ago Submitted by YARR-dbAccessor (hostname: spikepig.dhcp.lbl.gov, user: dfellers)
HEAD^11 66f4...9171b4 a year ago Submitted by YARR-dbAccessor (hostname: spikepig.dhcp.lbl.gov, user: dfellers)
HEAD^12 66f4...e9c1dd a year ago Submitted by YARR-dbAccessor (hostname: spikepig.dhcp.lbl.gov, user: dfellers)
HEAD^13 66f4...d88c8f a year ago Submitted by YARR-dbAccessor (hostname: spikepig.dhcp.lbl.gov, user: dfellers)
HEAD^14 66f4...62738e a year ago config revision by INJECTION-CAPACITANCE with RAW data 66f45a80ccf5a40aa8627380 and analysis result 66f45a84ccf5a40aa862738d
HEAD^15 66f4...62734e a year ago config revision by VCAL-CALIBRATION with RAW data 66f45a00ccf5a40aa862733e and analysis result 66f45a05ccf5a40aa862734d
HEAD^16 66f4...627275 a year ago config revision by ADC-CALIBRATION with RAW data 66f44fd3ccf5a40aa862726d and analysis result 66f44fd8ccf5a40aa8627274
HEAD^17 66cf...4231ea a year ago Submitted by YARR-dbAccessor (hostname: inkfish.dhcp.lbl.gov, user: eathompson)
HEAD^18 66cf...769cdb a year ago Submitted by YARR-dbAccessor (hostname: inkfish.dhcp.lbl.gov, user: eathompson)
HEAD^19 6696...749867 a year ago Submitted by YARR-dbAccessor (hostname: inkfish.dhcp.lbl.gov, user: eathompson)
HEAD^20 6696...9c6f9d a year ago Submitted by YARR-dbAccessor (hostname: inkfish.dhcp.lbl.gov, user: eathompson)
HEAD^21 6696...33375c a year ago Submitted by YARR-dbAccessor (hostname: inkfish.dhcp.lbl.gov, user: eathompson)
HEAD^22 6696...67bc85 a year ago Submitted by YARR-dbAccessor (hostname: inkfish.dhcp.lbl.gov, user: eathompson)
HEAD^23 6696...24db7b a year ago Submitted by YARR-dbAccessor (hostname: inkfish.dhcp.lbl.gov, user: eathompson)
HEAD^24 6696...9df6c3 a year ago Submitted by YARR-dbAccessor (hostname: inkfish.dhcp.lbl.gov, user: eathompson)
HEAD^25 6696...6befbd a year ago Submitted by YARR-dbAccessor (hostname: inkfish.dhcp.lbl.gov, user: eathompson)
HEAD^26 6696...332e9c a year ago Submitted by YARR-dbAccessor (hostname: inkfish.dhcp.lbl.gov, user: eathompson)
HEAD^27 6696...e637c9 a year ago Submitted by YARR-dbAccessor (hostname: inkfish.dhcp.lbl.gov, user: eathompson)
HEAD^28 6696...a41ce7 a year ago Submitted by YARR-dbAccessor (hostname: inkfish.dhcp.lbl.gov, user: eathompson)
HEAD^29 6696...321242 a year ago Submitted by YARR-dbAccessor (hostname: inkfish.dhcp.lbl.gov, user: eathompson)
HEAD^30 6696...a2e933 a year ago Submitted by YARR-dbAccessor (hostname: inkfish.dhcp.lbl.gov, user: eathompson)
HEAD^31 6696...a59ae5 a year ago Submitted by YARR-dbAccessor (hostname: inkfish.dhcp.lbl.gov, user: eathompson)
HEAD^32 6696...ab8492 a year ago Submitted by YARR-dbAccessor (hostname: inkfish.dhcp.lbl.gov, user: eathompson)
HEAD^33 6695...9d9d04 a year ago config revision by DATA-TRANSMISSION with RAW data 6695c6da1f90154eec9d9cfa and analysis result 6695c6dc1f90154eec9d9d03
HEAD^34 6695...9d9cdc a year ago config revision by UNDERSHUNT-PROTECTION with RAW data 6695c6be1f90154eec9d9cd4 and analysis result 6695c6c11f90154eec9d9cdb
HEAD^35 6695...9d9cb8 a year ago config revision by OVERVOLTAGE-PROTECTION with RAW data 6695c55f1f90154eec9d9cb0 and analysis result 6695c5621f90154eec9d9cb7
HEAD^36 6695...9d9c5d a year ago config revision by INJECTION-CAPACITANCE with RAW data 6695bf0b1f90154eec9d9c4f and analysis result 6695bf0e1f90154eec9d9c5c
HEAD^37 6695...9d9c1d a year ago config revision by VCAL-CALIBRATION with RAW data 6695be7e1f90154eec9d9c0d and analysis result 6695be811f90154eec9d9c1c
HEAD^38 6695...9d9bdc a year ago config revision by SLDO with RAW data 6695bc8c1f90154eec9d9bce and analysis result 6695bc901f90154eec9d9bdb
HEAD^39 6695...9d9b7d a year ago config revision by ANALOG-READBACK with RAW data 6695b9b21f90154eec9d9b62 and analysis result 6695b9b71f90154eec9d9b7c
HEAD^40 6695...9d9b32 a year ago config revision by ADC-CALIBRATION with RAW data 6695b2811f90154eec9d9b2a and analysis result 6695b2841f90154eec9d9b31
HEAD^41 6695...e397cf a year ago config revision by SLDO with RAW data 66903bb2986c92f58805d354 and analysis result 66955ae104560d1a00e397ce
HEAD^42 6690...05d362 a year ago config revision by SLDO with RAW data 66903bb2986c92f58805d354 and analysis result 66903bb6986c92f58805d361
HEAD^43 6690...05d32b a year ago config revision by DATA-TRANSMISSION with RAW data 6690383e986c92f58805d321 and analysis result 66903840986c92f58805d32a
HEAD^44 6690...05d303 a year ago config revision by UNDERSHUNT-PROTECTION with RAW data 66903821986c92f58805d2fb and analysis result 66903824986c92f58805d302
HEAD^45 6690...05d2df a year ago config revision by OVERVOLTAGE-PROTECTION with RAW data 669036c7986c92f58805d2d7 and analysis result 669036ca986c92f58805d2de
HEAD^46 6690...05d289 a year ago config revision by INJECTION-CAPACITANCE with RAW data 669030d5986c92f58805d27b and analysis result 669030d8986c92f58805d288
HEAD^47 6690...05d249 a year ago config revision by VCAL-CALIBRATION with RAW data 66902fcf986c92f58805d239 and analysis result 66902fd3986c92f58805d248
HEAD^48 6690...05d209 a year ago config revision by SLDO with RAW data 66902dde986c92f58805d1fb and analysis result 66902de2986c92f58805d208
HEAD^49 6690...05d19d a year ago config revision by ANALOG-READBACK with RAW data 669028d6986c92f58805d178 and analysis result 669028e2986c92f58805d19c
HEAD^50 6690...05d12e a year ago config revision by ADC-CALIBRATION with RAW data 6690213b986c92f58805d124 and analysis result 6690213e986c92f58805d12d
HEAD^51 6690...4df933 a year ago initial generation from module-qc-database-tools
HEAD^52 655b...10162a 2 years ago Submitted by YARR-dbAccessor (hostname: beakanimal.dhcp.lbl.gov, user: chultquist)
HEAD^53 655b...70a1fe 2 years ago Submitted by YARR-dbAccessor (hostname: beakanimal.dhcp.lbl.gov, user: chultquist)
HEAD^54 655b...a59501 2 years ago Submitted by YARR-dbAccessor (hostname: beakanimal.dhcp.lbl.gov, user: chultquist)
HEAD^55 655b...1ed3dd 2 years ago Submitted by YARR-dbAccessor (hostname: beakanimal.dhcp.lbl.gov, user: chultquist)
HEAD^56 655b...0f9968 2 years ago Submitted by YARR-dbAccessor (hostname: beakanimal.dhcp.lbl.gov, user: chultquist)
HEAD^57 655b...5ef683 2 years ago Submitted by YARR-dbAccessor (hostname: beakanimal.dhcp.lbl.gov, user: chultquist)
HEAD^58 655b...cb5eab 2 years ago Submitted by YARR-dbAccessor (hostname: beakanimal.dhcp.lbl.gov, user: chultquist)
HEAD^59 655b...cd5b34 2 years ago Submitted by YARR-dbAccessor (hostname: beakanimal.dhcp.lbl.gov, user: chultquist)
HEAD^60 655b...a56af6 2 years ago Submitted by YARR-dbAccessor (hostname: beakanimal.dhcp.lbl.gov, user: chultquist)
HEAD^61 655b...cea12f 2 years ago Submitted by YARR-dbAccessor (hostname: beakanimal.dhcp.lbl.gov, user: chultquist)
HEAD^62 655b...2de6e7 2 years ago Submitted by YARR-dbAccessor (hostname: beakanimal.dhcp.lbl.gov, user: chultquist)
HEAD^63 655b...adf6c6 2 years ago Submitted by YARR-dbAccessor (hostname: beakanimal.dhcp.lbl.gov, user: chultquist)
HEAD^64 655b...2ff924 2 years ago Submitted by YARR-dbAccessor (hostname: beakanimal.dhcp.lbl.gov, user: chultquist)
HEAD^65 655b...6c0100 2 years ago Submitted by YARR-dbAccessor (hostname: beakanimal.dhcp.lbl.gov, user: chultquist)
HEAD^66 655b...a7dc2e 2 years ago Submitted by YARR-dbAccessor (hostname: beakanimal.dhcp.lbl.gov, user: chultquist)
HEAD^67 655b...927632 2 years ago Submitted by YARR-dbAccessor (hostname: beakanimal.dhcp.lbl.gov, user: chultquist)
HEAD^68 655b...4c8a1e 2 years ago Submitted by YARR-dbAccessor (hostname: beakanimal.dhcp.lbl.gov, user: chultquist)
HEAD^69 655b...c0428d 2 years ago config revision by DATA-TRANSMISSION with RAW data 655bcc811a2f4d2887c04283 and analysis result 655bcc841a2f4d2887c0428c
HEAD^70 655b...c04261 2 years ago config revision by DATA-TRANSMISSION with RAW data 655bc9e31a2f4d2887c04257 and analysis result 655bc9e61a2f4d2887c04260
HEAD^71 655b...c04235 2 years ago config revision by DATA-TRANSMISSION with RAW data 655bc91d1a2f4d2887c0422b and analysis result 655bc9201a2f4d2887c04234
HEAD^72 6558...3c769c 2 years ago config revision by DATA-TRANSMISSION with RAW data 655801620ae0e809593c7692 and analysis result 655801640ae0e809593c769b
HEAD^73 6557...e37d0c 2 years ago config revision by UNDERSHUNT-PROTECTION with RAW data 6557f62cfb65846eeae37d04 and analysis result 6557f62ffb65846eeae37d0b
HEAD^74 6557...33d3a2 2 years ago config revision by ADC-CALIBRATION with RAW data 6557aec4d78c45303f33d398 and analysis result 6557aec6d78c45303f33d3a1
HEAD^75 6556...33d379 2 years ago config revision by OVERVOLTAGE-PROTECTION with RAW data 6556ee74d78c45303f33d371 and analysis result 6556ee76d78c45303f33d378
HEAD^76 6556...5a1863 2 years ago config revision by INJECTION-CAPACITANCE with RAW data 6556b6b9cacf9a16295a1855 and analysis result 6556b6bccacf9a16295a1862
HEAD^77 6556...5a1834 2 years ago config revision by VCAL-CALIBRATION with RAW data 6556b66ecacf9a16295a1824 and analysis result 6556b672cacf9a16295a1833
HEAD^78 6556...5a1803 2 years ago config revision by SLDO with RAW data 6556b61ecacf9a16295a17f5 and analysis result 6556b621cacf9a16295a1802
HEAD^79 6556...5a17bf 2 years ago config revision by ANALOG-READBACK with RAW data 6556b41dcacf9a16295a179a and analysis result 6556b428cacf9a16295a17be
HEAD^80 6556...5a1768 2 years ago config revision by ADC-CALIBRATION with RAW data 6556afb1cacf9a16295a175e and analysis result 6556afb3cacf9a16295a1767
HEAD^81 6556...5a173c 2 years ago config revision by ADC-CALIBRATION with RAW data 6556a1a2cacf9a16295a1732 and analysis result 6556a1a5cacf9a16295a173b
HEAD^82 6542...7d1347 2 years ago initial generation from module-qc-database-tools
Mode: cold
Index Revision ID Timestamp Message
HEAD 6690...4df938 a year ago initial generation from module-qc-database-tools
HEAD^1 6542...7d134f 2 years ago initial generation from module-qc-database-tools
Mode: LP
Index Revision ID Timestamp Message
HEAD 66f6...19738e a year ago config revision by LP-MODE with RAW data 66f6cd2826024409f0197386 and analysis result 66f6cd2b26024409f019738d
HEAD^1 66f4...6273be a year ago config revision by LP-MODE with RAW data 66f45b85ccf5a40aa86273b6 and analysis result 66f45b88ccf5a40aa86273bd
HEAD^2 6695...9d9c8e a year ago config revision by LP-MODE with RAW data 6695c0311f90154eec9d9c86 and analysis result 6695c0341f90154eec9d9c8d
HEAD^3 6690...05d2bb a year ago config revision by LP-MODE with RAW data 669031fc986c92f58805d2b3 and analysis result 669031ff986c92f58805d2ba
HEAD^4 6690...4df93d a year ago initial generation from module-qc-database-tools
HEAD^5 6556...33d355 2 years ago config revision by LP-MODE with RAW data 6556ee43d78c45303f33d34d and analysis result 6556ee45d78c45303f33d354
HEAD^6 6542...7d1357 2 years ago initial generation from module-qc-database-tools
Stage Tests
TESTONWAFER
  • Electrical FE chip tests   (FECHIP_TEST)
HYBRIDISATION
UNUSABLE
BAREMODULEASSEMBLY
BAREMODULERECEPTION
  • Minimal Health Test  (MIN_HEALTH_TEST)
  • Analog Readback  (ANALOG_READBACK)
MODULE/INIT
MODULE/ASSEMBLY
MODULE/WIREBONDING
  • ADC Calibration  (ADC_CALIBRATION)
  • Data Transmission  (DATA_TRANSMISSION)
  • VCAL Calibration  (VCAL_CALIBRATION)
  • Minimal Health Test  (MIN_HEALTH_TEST)
  • Tuning  (TUNING)
  • Pixel Failure Analysis  (PIXEL_FAILURE_ANALYSIS)
  • SLDO  (SLDO)
  • Low Power Mode  (LP_MODE)
  • Analog Readback  (ANALOG_READBACK)
  • Injection Capacitance  (INJECTION_CAPACITANCE)
MODULE/INITIAL_WARM
  • ADC Calibration  (ADC_CALIBRATION)
  • Analog Readback  (ANALOG_READBACK)
  • SLDO  (SLDO)
  • VCAL Calibration  (VCAL_CALIBRATION)
  • Low Power Mode  (LP_MODE)
  • Overvoltage Protection  (OVERVOLTAGE_PROTECTION)
  • Undershunt Protection  (UNDERSHUNT_PROTECTION)
  • Data Transmission  (DATA_TRANSMISSION)
  • Injection Capacitance  (INJECTION_CAPACITANCE)
  • Minimal Health Test  (MIN_HEALTH_TEST)
  • Tuning  (TUNING)
  • Pixel Failure Analysis  (PIXEL_FAILURE_ANALYSIS)
MODULE/QC_CROSSCHECK
  • ADC Calibration  (ADC_CALIBRATION)
  • Analog Readback  (ANALOG_READBACK)
  • SLDO  (SLDO)
  • VCAL Calibration  (VCAL_CALIBRATION)
  • Low Power Mode  (LP_MODE)
  • Overvoltage Protection  (OVERVOLTAGE_PROTECTION)
  • Undershunt Protection  (UNDERSHUNT_PROTECTION)
  • Data Transmission  (DATA_TRANSMISSION)
  • Injection Capacitance  (INJECTION_CAPACITANCE)
  • Minimal Health Test  (MIN_HEALTH_TEST)
  • Tuning  (TUNING)
  • Pixel Failure Analysis  (PIXEL_FAILURE_ANALYSIS)
MODULE/INITIAL_COLD
  • ADC Calibration  (ADC_CALIBRATION)
  • Analog Readback  (ANALOG_READBACK)
  • SLDO  (SLDO)
  • VCAL Calibration  (VCAL_CALIBRATION)
  • Injection Capacitance  (INJECTION_CAPACITANCE)
  • Tuning  (TUNING)
  • Minimal Health Test  (MIN_HEALTH_TEST)
  • Pixel Failure Analysis  (PIXEL_FAILURE_ANALYSIS)
  • Low Power Mode  (LP_MODE)
  • Overvoltage Protection  (OVERVOLTAGE_PROTECTION)
  • Undershunt Protection  (UNDERSHUNT_PROTECTION)
  • Data Transmission  (DATA_TRANSMISSION)
MODULE/PARYLENE_MASKING
  • ADC Calibration  (ADC_CALIBRATION)
  • VCAL Calibration  (VCAL_CALIBRATION)
  • SLDO  (SLDO)
  • Low Power Mode  (LP_MODE)
  • Minimal Health Test  (MIN_HEALTH_TEST)
  • Tuning  (TUNING)
  • Pixel Failure Analysis  (PIXEL_FAILURE_ANALYSIS)
  • Analog Readback  (ANALOG_READBACK)
  • Injection Capacitance  (INJECTION_CAPACITANCE)
  • Data Transmission  (DATA_TRANSMISSION)
MODULE/PARYLENE_COATING
MODULE/PARYLENE_UNMASKING
  • Minimal Health Test  (MIN_HEALTH_TEST)
  • Pixel Failure Analysis  (PIXEL_FAILURE_ANALYSIS)
  • Tuning  (TUNING)
  • Data Transmission  (DATA_TRANSMISSION)
  • ADC Calibration  (ADC_CALIBRATION)
  • VCAL Calibration  (VCAL_CALIBRATION)
  • SLDO  (SLDO)
  • Analog Readback  (ANALOG_READBACK)
  • Injection Capacitance  (INJECTION_CAPACITANCE)
  • Low Power Mode  (LP_MODE)
MODULE/WIREBOND_PROTECTION
  • Minimal Health Test  (MIN_HEALTH_TEST)
  • Pixel Failure Analysis  (PIXEL_FAILURE_ANALYSIS)
  • Tuning  (TUNING)
  • ADC Calibration  (ADC_CALIBRATION)
  • Low Power Mode  (LP_MODE)
  • VCAL Calibration  (VCAL_CALIBRATION)
  • Analog Readback  (ANALOG_READBACK)
  • Injection Capacitance  (INJECTION_CAPACITANCE)
  • SLDO  (SLDO)
  • Data Transmission  (DATA_TRANSMISSION)
MODULE/POST_PARYLENE_WARM
  • ADC Calibration  (ADC_CALIBRATION)
  • Analog Readback  (ANALOG_READBACK)
  • Overvoltage Protection  (OVERVOLTAGE_PROTECTION)
  • Undershunt Protection  (UNDERSHUNT_PROTECTION)
  • SLDO  (SLDO)
  • VCAL Calibration  (VCAL_CALIBRATION)
  • Data Transmission  (DATA_TRANSMISSION)
  • Injection Capacitance  (INJECTION_CAPACITANCE)
  • Minimal Health Test  (MIN_HEALTH_TEST)
  • Tuning  (TUNING)
  • Pixel Failure Analysis  (PIXEL_FAILURE_ANALYSIS)
  • Low Power Mode  (LP_MODE)
MODULE/POST_PARYLENE_COLD
  • ADC Calibration  (ADC_CALIBRATION)
  • Analog Readback  (ANALOG_READBACK)
  • VCAL Calibration  (VCAL_CALIBRATION)
  • Low Power Mode  (LP_MODE)
  • Data Transmission  (DATA_TRANSMISSION)
  • Overvoltage Protection  (OVERVOLTAGE_PROTECTION)
  • Undershunt Protection  (UNDERSHUNT_PROTECTION)
  • SLDO  (SLDO)
  • Minimal Health Test  (MIN_HEALTH_TEST)
  • Tuning  (TUNING)
  • Pixel Failure Analysis  (PIXEL_FAILURE_ANALYSIS)
  • Injection Capacitance  (INJECTION_CAPACITANCE)
MODULE/THERMAL_CYCLES
  • Minimal Health Test  (MIN_HEALTH_TEST)
  • Pixel Failure Analysis  (PIXEL_FAILURE_ANALYSIS)
  • Tuning  (TUNING)
  • Data Transmission  (DATA_TRANSMISSION)
  • SLDO  (SLDO)
  • ADC Calibration  (ADC_CALIBRATION)
  • VCAL Calibration  (VCAL_CALIBRATION)
  • Analog Readback  (ANALOG_READBACK)
  • Injection Capacitance  (INJECTION_CAPACITANCE)
  • Low Power Mode  (LP_MODE)
  • Cold startup  (COLD_STARTUP)
MODULE/LONG_TERM_STABILITY_TEST
  • Minimal Health Test  (MIN_HEALTH_TEST)
  • Pixel Failure Analysis  (PIXEL_FAILURE_ANALYSIS)
  • Low Power Mode  (LP_MODE)
  • Data Transmission  (DATA_TRANSMISSION)
  • SLDO  (SLDO)
  • Tuning  (TUNING)
  • ADC Calibration  (ADC_CALIBRATION)
  • VCAL Calibration  (VCAL_CALIBRATION)
  • Analog Readback  (ANALOG_READBACK)
  • Injection Capacitance  (INJECTION_CAPACITANCE)
MODULE/FINAL_WARM
  • ADC Calibration  (ADC_CALIBRATION)
  • Analog Readback  (ANALOG_READBACK)
  • SLDO  (SLDO)
  • VCAL Calibration  (VCAL_CALIBRATION)
  • Undershunt Protection  (UNDERSHUNT_PROTECTION)
  • Overvoltage Protection  (OVERVOLTAGE_PROTECTION)
  • Data Transmission  (DATA_TRANSMISSION)
  • Minimal Health Test  (MIN_HEALTH_TEST)
  • Pixel Failure Analysis  (PIXEL_FAILURE_ANALYSIS)
  • Tuning  (TUNING)
  • Low Power Mode  (LP_MODE)
  • Injection Capacitance  (INJECTION_CAPACITANCE)
MODULE/FINAL_COLD
  • ADC Calibration  (ADC_CALIBRATION)
  • Analog Readback  (ANALOG_READBACK)
  • SLDO  (SLDO)
  • VCAL Calibration  (VCAL_CALIBRATION)
  • Injection Capacitance  (INJECTION_CAPACITANCE)
  • Low Power Mode  (LP_MODE)
  • Overvoltage Protection  (OVERVOLTAGE_PROTECTION)
  • Undershunt Protection  (UNDERSHUNT_PROTECTION)
  • Tuning  (TUNING)
  • Minimal Health Test  (MIN_HEALTH_TEST)
  • Pixel Failure Analysis  (PIXEL_FAILURE_ANALYSIS)
  • Data Transmission  (DATA_TRANSMISSION)
  • Cold startup  (COLD_STARTUP)
MODULE/FINAL_METROLOGY
  • Data Transmission  (DATA_TRANSMISSION)
  • ADC Calibration  (ADC_CALIBRATION)
  • VCAL Calibration  (VCAL_CALIBRATION)
  • SLDO  (SLDO)
  • Injection Capacitance  (INJECTION_CAPACITANCE)
  • Minimal Health Test  (MIN_HEALTH_TEST)
  • Tuning  (TUNING)
  • Pixel Failure Analysis  (PIXEL_FAILURE_ANALYSIS)
  • Injection Capacitance  (INJECTION_CAPACITANCE)
  • Analog Readback  (ANALOG_READBACK)
MODULE/QC_STATUS
MODULE/UNHAPPY
  • ADC Calibration  (ADC_CALIBRATION)
  • Analog Readback  (ANALOG_READBACK)
  • VCAL Calibration  (VCAL_CALIBRATION)
  • Minimal Health Test  (MIN_HEALTH_TEST)
  • Tuning  (TUNING)
  • Pixel Failure Analysis  (PIXEL_FAILURE_ANALYSIS)
  • Low Power Mode  (LP_MODE)
  • Injection Capacitance  (INJECTION_CAPACITANCE)
  • SLDO  (SLDO)
  • Data Transmission  (DATA_TRANSMISSION)
MODULE/NOTCONSIDEREDINYIELDS
  • ADC Calibration  (ADC_CALIBRATION)
  • VCAL Calibration  (VCAL_CALIBRATION)
  • SLDO  (SLDO)
  • Undershunt Protection  (UNDERSHUNT_PROTECTION)
  • Pixel Failure Analysis  (PIXEL_FAILURE_ANALYSIS)
  • Minimal Health Test  (MIN_HEALTH_TEST)
  • Tuning  (TUNING)
  • Analog Readback  (ANALOG_READBACK)
  • Overvoltage Protection  (OVERVOLTAGE_PROTECTION)
  • Low Power Mode  (LP_MODE)
  • Injection Capacitance  (INJECTION_CAPACITANCE)
  • Data Transmission  (DATA_TRANSMISSION)
MODULE/GRAVEYARD
MODULE/COMPLETE
MODULE/RECEPTION
  • Minimal Health Test  (MIN_HEALTH_TEST)
  • Pixel Failure Analysis  (PIXEL_FAILURE_ANALYSIS)
  • ADC Calibration  (ADC_CALIBRATION)
  • Analog Readback  (ANALOG_READBACK)
  • SLDO  (SLDO)
  • Data Transmission  (DATA_TRANSMISSION)
  • Tuning  (TUNING)
MODULE/TAB_CUTTING
  • Minimal Health Test  (MIN_HEALTH_TEST)
LLS/PRE_TC_WARM
  • Minimal Health Test  (MIN_HEALTH_TEST)
  • Analog Readback  (ANALOG_READBACK)
  • SLDO  (SLDO)
  • Low Power Mode  (LP_MODE)
  • Tuning  (TUNING)
  • Pixel Failure Analysis  (PIXEL_FAILURE_ANALYSIS)
LLS/PRE_TC_COLD
  • Minimal Health Test  (MIN_HEALTH_TEST)
  • Analog Readback  (ANALOG_READBACK)
  • SLDO  (SLDO)
  • Tuning  (TUNING)
  • Pixel Failure Analysis  (PIXEL_FAILURE_ANALYSIS)
LLS/POST_TC_WARM
  • Minimal Health Test  (MIN_HEALTH_TEST)
  • Analog Readback  (ANALOG_READBACK)
  • SLDO  (SLDO)
  • Tuning  (TUNING)
  • Pixel Failure Analysis  (PIXEL_FAILURE_ANALYSIS)
LLS/POST_TC_COLD
  • Minimal Health Test  (MIN_HEALTH_TEST)
  • Analog Readback  (ANALOG_READBACK)
  • SLDO  (SLDO)
  • Tuning  (TUNING)
  • Pixel Failure Analysis  (PIXEL_FAILURE_ANALYSIS)
LLS/RECEPTION
  • Minimal Health Test  (MIN_HEALTH_TEST)
  • Analog Readback  (ANALOG_READBACK)
  • SLDO  (SLDO)
  • Tuning  (TUNING)
  • Pixel Failure Analysis  (PIXEL_FAILURE_ANALYSIS)
OB_LOADED_MODULE_CELL/INIT
OB_LOADED_MODULE_CELL/ASSEMBLY
OB_LOADED_MODULE_CELL/WIREBOND_PROTECTION
OB_LOADED_MODULE_CELL/THERMAL_CYCLES
OB_LOADED_MODULE_CELL/FINAL_WARM
  • ADC Calibration  (ADC_CALIBRATION)
  • Analog Readback  (ANALOG_READBACK)
  • SLDO  (SLDO)
  • VCAL Calibration  (VCAL_CALIBRATION)
  • Injection Capacitance  (INJECTION_CAPACITANCE)
  • Low Power Mode  (LP_MODE)
  • Data Transmission  (DATA_TRANSMISSION)
  • Minimal Health Test  (MIN_HEALTH_TEST)
  • Tuning  (TUNING)
  • Pixel Failure Analysis  (PIXEL_FAILURE_ANALYSIS)
OB_LOADED_MODULE_CELL/FINAL_COLD
  • ADC Calibration  (ADC_CALIBRATION)
  • Analog Readback  (ANALOG_READBACK)
  • SLDO  (SLDO)
  • VCAL Calibration  (VCAL_CALIBRATION)
  • Injection Capacitance  (INJECTION_CAPACITANCE)
  • Low Power Mode  (LP_MODE)
  • Data Transmission  (DATA_TRANSMISSION)
  • Minimal Health Test  (MIN_HEALTH_TEST)
  • Tuning  (TUNING)
  • Pixel Failure Analysis  (PIXEL_FAILURE_ANALYSIS)
OB_LOADED_MODULE_CELL/THERMAL_COLD
OB_LOADED_MODULE_CELL/THERMAL_WARM
OB_LOADED_MODULE_CELL/ENVELOPE_CHECK
OB_LOADED_MODULE_CELL/QC_STATUS
OB_LOADED_MODULE_CELL/UNHAPPY
OB_LOADED_MODULE_CELL/COMPLETE
OB_LOADED_MODULE_CELL/RECEPTION
  • Minimal Health Test  (MIN_HEALTH_TEST)
  • Pixel Failure Analysis  (PIXEL_FAILURE_ANALYSIS)
  • SLDO  (SLDO)
OB_LOADED_MODULE_CELL/TAB_CUTTING
  • Minimal Health Test  (MIN_HEALTH_TEST)
OB_LOADED_MODULE_CELL/PIGTAIL_INSERTION
TEST_AFTER_LOADED_LOCAL_SUPPORT_ASSEMBLY
  • OB:Loaded local support QC electrical connectivity  (OBLoadedLocalSupportQC_ElectricalConnectivity)
  • OB:Loaded local support QC electrical performance  (OBLoadedLocalSupportQC_ElectricalPerformance)
  • OB:Loaded local support reception at the integration site  (OBLoadedLocalSupport_IntegrationSite)
  • OB:Loaded local support QC electrical low power  (OBLoadedLocalSupport_QCElectricalLowPower)
TEST_JM_OEC_FE
Back to top page of this component