20UPGFC0087194

MODULE/INITIAL_WARM

Component Information

Serial Number 20UPGFC0087194
ProdDB ID  db010f…1e54b2
LocalDB ID 6225406c80e95c000a58391e
Component Type fe_chip
Parents 20UPGR9210119620UPGBQ2101196
Children No match.
Flags

 Properties

Item Value
Wafer serial number 20UPGFW0000340

 Comments


Test: VCAL_CALIBRATION QC Passed

(Stage: MODULE/INITIAL_WARM)


Basic View Only: custom view for this TestRun is not prepared.

Metadata

Key Data
QC Passed True
Date 2 years ago
component ObjectId 6225406c80e95c000a58391e
Stage MODULE/INITIAL_WARM
Test Type VCAL_CALIBRATION
Institute ObjectId
User Name None
ObjectId of this record 669c8ae6d88a58653436cf58
ObjectId of RAW record 6556b66bcacf9a16295a1813
Tags No tags

Results

Key Data
ANALYSIS_VERSION mqat v2.2.6
MEASUREMENT_VERSION 2.1.2.dev5
QC_LAYER L2
INSTITUTION LBNL_PIXEL_MODULES
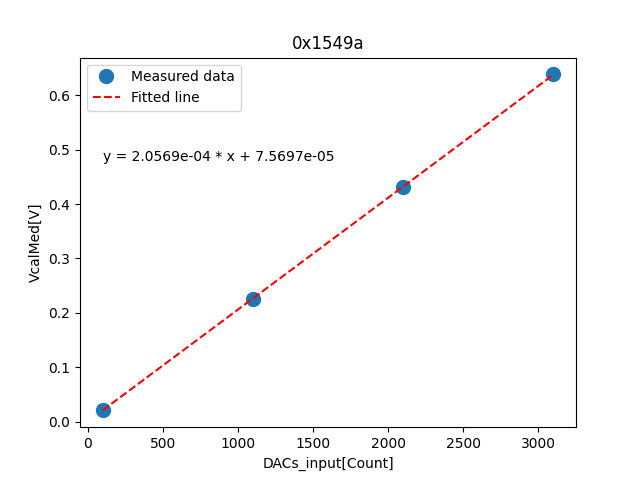
VCAL_MED_SLOPE 0.21
VCAL_MED_OFFSET 0.0
VCAL_MED_LINEARITY 0.48
VCAL_MED_SLOPE_SMALL_RANGE 0.1
VCAL_MED_OFFSET_SMALL_RANGE 0.42
VCAL_MED_LINEARITY_SMALL_RANGE 0.52
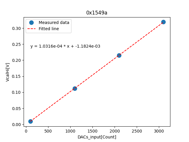
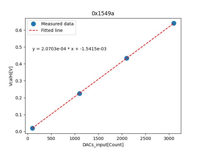
VCAL_HIGH_SLOPE 0.21
VCAL_HIGH_OFFSET -2.0
VCAL_HIGH_LINEARITY 0.31
VCAL_HIGH_SLOPE_SMALL_RANGE 0.1
VCAL_HIGH_OFFSET_SMALL_RANGE -1.18
VCAL_HIGH_LINEARITY_SMALL_RANGE 0.57

Attachments

Filename Contents
output.log Download
0x1549a_VCAL_MED.png
0x1549a_VCAL_MED_SMALL_RANGE.png
0x1549a_VCAL_HIGH.png
0x1549a_VCAL_HIGH_SMALL_RANGE.png
0x1549a.log Download
0x1549a_summary.png

RAW Results Record

Download RAW
_id6556b66bcacf9a16295a1813
raw
serialNumbertestTypesubtestTyperesultsstagecomponentdbVersionaddresssys
20UPGFC0087194VCAL_CALIBRATIONVCAL_MED
property
VCAL_CALIBRATION_MEASUREMENT_VERSION2.1.2.dev5
comment
Measurements
DACs_input
XTrue
UnitCount
Values
  • 100
  • 1100
  • 2100
  • 3100
Vmux8
XFalse
UnitV
Values
  • 0.0408699
  • 0.245847
  • 0.451216
  • 0.658038
Vmux30
XFalse
UnitV
Values
  • 0.0198173
  • 0.0198173
  • 0.0198173
  • 0.0198173
Metadata
ChipID12
Name0x1549a
InstitutionLBNL_PIXEL_MODULES
ModuleSN20UPGR92101196
FirmwareVersion
FirmwareIdentifier
ChannelConfig
SoftwareVersion
ChipConfigs
RD53B
GlobalConfig
AuroraActiveLanes1
CdrClkSel0
CmlBias0800
CmlBias1400
CmlBias20
DataMergeOutMux02
DataMergeOutMux13
DataMergeOutMux20
DataMergeOutMux31
DiffPreComp350
DiffPreampL550
DiffPreampM550
DiffPreampR550
DiffPreampT550
DiffPreampTL550
DiffPreampTR550
DiffVff60
EnCoreCol065535
EnCoreCol165535
EnCoreCol265535
EnCoreCol363
MonitorEnable1
MonitorI63
MonitorV8
SerEnLane4
SerEnTap1
SerInvTap1
ServiceBlockEn1
SldoTrimA9
SldoTrimD8
InjVcalRange1
Parameter
ADCcalPar
  • 6.0
  • 0.196
  • 10000.0
ChipId12
InjCap7.777
IrefTrim10
KSenseInA21072.034
KSenseInD21756.235
KSenseShuntA26089.18495238095
KSenseShuntD26936.290952380954
KShuntA1067.238
KShuntD1068.089
Name0x1549a
NfACB1.2816021695841033
NfASLDO1.283598457016135
NfDSLDO1.2848766554438384
VcalPar
  • 3.407
  • 0.208
SoftwareType
TimeStart1700181548
TimeEnd1700181564
MODULE/INITIAL_WARM6225406c80e95c000a58391e1.0164657cef8d79bac1f3f005c0
mts2023-11-17 00:40:11.256000
cts2023-11-17 00:40:11.257000
rev0
20UPGFC0087194VCAL_CALIBRATIONVCAL_MED_SMALL_RANGE
property
VCAL_CALIBRATION_MEASUREMENT_VERSION2.1.2.dev5
comment
Measurements
DACs_input
XTrue
UnitCount
Values
  • 100
  • 1100
  • 2100
  • 3100
Vmux8
XFalse
UnitV
Values
  • 0.0310024
  • 0.132277
  • 0.234841
  • 0.338169
Vmux30
XFalse
UnitV
Values
  • 0.0198049
  • 0.0198049
  • 0.0198049
  • 0.0198049
Metadata
ChipID12
Name0x1549a
InstitutionLBNL_PIXEL_MODULES
ModuleSN20UPGR92101196
FirmwareVersion
FirmwareIdentifier
ChannelConfig
SoftwareVersion
ChipConfigs
RD53B
GlobalConfig
AuroraActiveLanes1
CdrClkSel0
CmlBias0800
CmlBias1400
CmlBias20
DataMergeOutMux02
DataMergeOutMux13
DataMergeOutMux20
DataMergeOutMux31
DiffPreComp350
DiffPreampL550
DiffPreampM550
DiffPreampR550
DiffPreampT550
DiffPreampTL550
DiffPreampTR550
DiffVff60
EnCoreCol065535
EnCoreCol165535
EnCoreCol265535
EnCoreCol363
MonitorEnable1
MonitorI63
MonitorV8
SerEnLane4
SerEnTap1
SerInvTap1
ServiceBlockEn1
SldoTrimA9
SldoTrimD8
InjVcalRange0
Parameter
ADCcalPar
  • 6.0
  • 0.196
  • 10000.0
ChipId12
InjCap7.777
IrefTrim10
KSenseInA21072.034
KSenseInD21756.235
KSenseShuntA26089.18495238095
KSenseShuntD26936.290952380954
KShuntA1067.238
KShuntD1068.089
Name0x1549a
NfACB1.2816021695841033
NfASLDO1.283598457016135
NfDSLDO1.2848766554438384
VcalPar
  • 3.407
  • 0.208
SoftwareType
TimeStart1700181564
TimeEnd1700181579
MODULE/INITIAL_WARM6225406c80e95c000a58391e1.0164657cef8d79bac1f3f005c0
mts2023-11-17 00:40:11.257000
cts2023-11-17 00:40:11.257000
rev0
20UPGFC0087194VCAL_CALIBRATIONVCAL_HIGH
property
VCAL_CALIBRATION_MEASUREMENT_VERSION2.1.2.dev5
comment
Measurements
DACs_input
XTrue
UnitCount
Values
  • 100
  • 1100
  • 2100
  • 3100
Vmux7
XFalse
UnitV
Values
  • 0.039219
  • 0.245457
  • 0.453233
  • 0.660054
Vmux30
XFalse
UnitV
Values
  • 0.0197873
  • 0.0197873
  • 0.0197873
  • 0.0197873
Metadata
ChipID12
Name0x1549a
InstitutionLBNL_PIXEL_MODULES
ModuleSN20UPGR92101196
FirmwareVersion
FirmwareIdentifier
ChannelConfig
SoftwareVersion
ChipConfigs
RD53B
GlobalConfig
AuroraActiveLanes1
CdrClkSel0
CmlBias0800
CmlBias1400
CmlBias20
DataMergeOutMux02
DataMergeOutMux13
DataMergeOutMux20
DataMergeOutMux31
DiffPreComp350
DiffPreampL550
DiffPreampM550
DiffPreampR550
DiffPreampT550
DiffPreampTL550
DiffPreampTR550
DiffVff60
EnCoreCol065535
EnCoreCol165535
EnCoreCol265535
EnCoreCol363
MonitorEnable1
MonitorI63
MonitorV7
SerEnLane4
SerEnTap1
SerInvTap1
ServiceBlockEn1
SldoTrimA9
SldoTrimD8
InjVcalRange1
Parameter
ADCcalPar
  • 6.0
  • 0.196
  • 10000.0
ChipId12
InjCap7.777
IrefTrim10
KSenseInA21072.034
KSenseInD21756.235
KSenseShuntA26089.18495238095
KSenseShuntD26936.290952380954
KShuntA1067.238
KShuntD1068.089
Name0x1549a
NfACB1.2816021695841033
NfASLDO1.283598457016135
NfDSLDO1.2848766554438384
VcalPar
  • 3.407
  • 0.208
SoftwareType
TimeStart1700181579
TimeEnd1700181594
MODULE/INITIAL_WARM6225406c80e95c000a58391e1.0164657cef8d79bac1f3f005c0
mts2023-11-17 00:40:11.257000
cts2023-11-17 00:40:11.257000
rev0
20UPGFC0087194VCAL_CALIBRATIONVCAL_HIGH_SMALL_RANGE
property
VCAL_CALIBRATION_MEASUREMENT_VERSION2.1.2.dev5
comment
Measurements
DACs_input
XTrue
UnitCount
Values
  • 100
  • 1100
  • 2100
  • 3100
Vmux7
XFalse
UnitV
Values
  • 0.0295401
  • 0.131264
  • 0.234979
  • 0.338845
Vmux30
XFalse
UnitV
Values
  • 0.0197787
  • 0.0197787
  • 0.0197787
  • 0.0197787
Metadata
ChipID12
Name0x1549a
InstitutionLBNL_PIXEL_MODULES
ModuleSN20UPGR92101196
FirmwareVersion
FirmwareIdentifier
ChannelConfig
SoftwareVersion
ChipConfigs
RD53B
GlobalConfig
AuroraActiveLanes1
CdrClkSel0
CmlBias0800
CmlBias1400
CmlBias20
DataMergeOutMux02
DataMergeOutMux13
DataMergeOutMux20
DataMergeOutMux31
DiffPreComp350
DiffPreampL550
DiffPreampM550
DiffPreampR550
DiffPreampT550
DiffPreampTL550
DiffPreampTR550
DiffVff60
EnCoreCol065535
EnCoreCol165535
EnCoreCol265535
EnCoreCol363
MonitorEnable1
MonitorI63
MonitorV7
SerEnLane4
SerEnTap1
SerInvTap1
ServiceBlockEn1
SldoTrimA9
SldoTrimD8
InjVcalRange0
Parameter
ADCcalPar
  • 6.0
  • 0.196
  • 10000.0
ChipId12
InjCap7.777
IrefTrim10
KSenseInA21072.034
KSenseInD21756.235
KSenseShuntA26089.18495238095
KSenseShuntD26936.290952380954
KShuntA1067.238
KShuntD1068.089
Name0x1549a
NfACB1.2816021695841033
NfASLDO1.283598457016135
NfDSLDO1.2848766554438384
VcalPar
  • 3.407
  • 0.208
SoftwareType
TimeStart1700181594
TimeEnd1700181609
MODULE/INITIAL_WARM6225406c80e95c000a58391e1.0164657cef8d79bac1f3f005c0
mts2023-11-17 00:40:11.257000
cts2023-11-17 00:40:11.257000
rev0
rawHash5143f4a87969ff5ac0dc131a45c7fa1a
stageMODULE/INITIAL_WARM

ProductionDB Record

{}

 Current Stage: Initial Warm

Test Type Local Result
ADC Calibration
(ADC_CALIBRATION)
TestRun Present
Analog Readback
(ANALOG_READBACK)
TestRun Present
SLDO
(SLDO)
TestRun Present
VCAL Calibration
(VCAL_CALIBRATION)
TestRun Present
Low Power Mode
(LP_MODE)
TestRun Present
Data Transmission
(DATA_TRANSMISSION)
TestRun Present
Injection Capacitance
(INJECTION_CAPACITANCE)
TestRun Present
Minimal Health Test
(MIN_HEALTH_TEST)
TestRun Present
Tuning
(TUNING)
TestRun Present
Pixel Failure Analysis
(PIXEL_FAILURE_ANALYSIS)
TestRun Present

 Candidate TestRuns of this Stage

LDB ID TestRun Code QC Passed Inspector Measurement Date Analysis Date Analysis Version Tags QC Registration
67180f…7b0928 ADC_CALIBRATION Pass None a year ago a year ago 2.2.8 No tags
66f6cd…197384 LP_MODE Fail None a year ago a year ago 2.2.7rc1 No tags
66f45b…6273da DATA_TRANSMISSION Pass None a year ago a year ago 2.2.7rc1 No tags
66f45b…6273b4 LP_MODE Fail None a year ago a year ago 2.2.7rc1 No tags
66f45a…62737e INJECTION_CAPACITANCE Pass None a year ago a year ago 2.2.7rc1 No tags
66f459…62733c VCAL_CALIBRATION Pass None a year ago a year ago 2.2.7rc1 No tags
66f458…627302 SLDO Fail None a year ago a year ago 2.2.7rc1 No tags
66f455…6272a3 ANALOG_READBACK Fail None a year ago a year ago 2.2.7rc1 No tags
66f44f…62726b ADC_CALIBRATION Pass None a year ago a year ago 2.2.7rc1 No tags
66f43d…627205 ANALOG_READBACK Fail None a year ago a year ago 2.2.7rc1 No tags
669c8b…36d8ac PIXEL_FAILURE_ANALYSIS Fail None N/A a year ago 2.2.6 No tags Selected
669c8b…36d767 TUNING Pass None N/A a year ago 2.2.6 No tags Selected
669c8b…36d5fc MIN_HEALTH_TEST Pass None N/A a year ago 2.2.6 No tags Selected
669c8b…36d525 PIXEL_FAILURE_ANALYSIS Fail None N/A a year ago 2.2.6 No tags
669c8b…36d2f2 TUNING Pass None N/A a year ago 2.2.6 No tags
669c8b…36d16d MIN_HEALTH_TEST Pass None N/A a year ago 2.2.6 No tags
669c8b…36d0d1 PIXEL_FAILURE_ANALYSIS Fail None N/A a year ago 2.2.6 No tags
669c8a…36ceb1 TUNING Pass None N/A a year ago 2.2.6 No tags
669c8a…36cde3 MIN_HEALTH_TEST Pass None N/A a year ago 2.2.6 No tags
6696d5…467267 PIXEL_FAILURE_ANALYSIS Fail None N/A a year ago 2.2.6 No tags
6696d4…467175 TUNING Fail None N/A a year ago 2.2.6 No tags
6696d3…46709c MIN_HEALTH_TEST Pass None N/A a year ago 2.2.6 No tags
6695c6…9d9cf8 DATA_TRANSMISSION Pass None a year ago a year ago 2.2.6 No tags
669c8c…36d994 DATA_TRANSMISSION Pass None a year ago a year ago 2.2.6 No tags Selected
6695c6…9d9cd2 UNDERSHUNT_PROTECTION Pass None a year ago a year ago 2.2.6 No tags
669c8c…36d975 UNDERSHUNT_PROTECTION Pass None a year ago a year ago 2.2.6 No tags Selected
6695c5…9d9cae OVERVOLTAGE_PROTECTION Fail None a year ago a year ago 2.2.6 No tags
6695c0…9d9c84 LP_MODE Fail None a year ago a year ago 2.2.6 No tags
6695bf…9d9c4d INJECTION_CAPACITANCE Pass None a year ago a year ago 2.2.6 No tags
6695be…9d9c0b VCAL_CALIBRATION Pass None a year ago a year ago 2.2.6 No tags
6695bc…9d9bcc SLDO Fail None a year ago a year ago 2.2.6 No tags
6695b9…9d9b60 ANALOG_READBACK Fail None a year ago a year ago 2.2.6 No tags
6695b2…9d9b28 ADC_CALIBRATION Pass None a year ago a year ago 2.2.6 No tags
66955a…e397c0 SLDO Fail None a year ago a year ago 2.2.6 No tags
66903b…05d352 SLDO Fail None a year ago a year ago 2.2.4 No tags
669038…05d31f DATA_TRANSMISSION Pass None a year ago a year ago 2.2.4 No tags
669038…05d2f9 UNDERSHUNT_PROTECTION Pass None a year ago a year ago 2.2.4 No tags
669036…05d2d5 OVERVOLTAGE_PROTECTION Fail None a year ago a year ago 2.2.4 No tags
669031…05d2b1 LP_MODE Fail None a year ago a year ago 2.2.4 No tags
669030…05d279 INJECTION_CAPACITANCE Pass None a year ago a year ago 2.2.4 No tags
66902f…05d237 VCAL_CALIBRATION Pass None a year ago a year ago 2.2.4 No tags
66902d…05d1f9 SLDO Fail None a year ago a year ago 2.2.4 No tags
669028…05d176 ANALOG_READBACK Fail None a year ago a year ago 2.2.4 No tags
669021…05d122 ADC_CALIBRATION Pass None a year ago a year ago 2.2.4 No tags
657b4a…34f10b PIXEL_FAILURE_ANALYSIS Fail None N/A 2 years ago 2.2.2 No tags
657b4a…34efe5 TUNING Fail None N/A 2 years ago 2.2.2 No tags
657b4a…34ef1c MIN_HEALTH_TEST Pass None N/A 2 years ago 2.2.2 No tags
655bf3…ab1516 PIXEL_FAILURE_ANALYSIS Fail None N/A 2 years ago 2.2.0 No tags
655bf2…ab1443 TUNING Fail None N/A 2 years ago 2.2.0 No tags
655bee…ab133c MIN_HEALTH_TEST Pass None N/A 2 years ago 2.2.0 No tags
655bcc…c04281 DATA_TRANSMISSION Pass None 2 years ago 2 years ago 2.2.0 No tags
657b4b…34f1eb DATA_TRANSMISSION Pass None 2 years ago 2 years ago 2.2.2 No tags
669c8b…36d283 DATA_TRANSMISSION Pass None 2 years ago 2 years ago 2.2.6 No tags
669c8b…36d6e5 DATA_TRANSMISSION Pass None 2 years ago 2 years ago 2.2.6 No tags
655bc9…c04255 DATA_TRANSMISSION Pass None 2 years ago 2 years ago 2.2.0 No tags
655bc9…c04229 DATA_TRANSMISSION Pass None 2 years ago 2 years ago 2.2.0 No tags
655801…3c7690 DATA_TRANSMISSION Pass None 2 years ago 2 years ago 2.2.0 No tags
6557f6…e37d02 UNDERSHUNT_PROTECTION Fail None 2 years ago 2 years ago 2.1.0rc5 No tags
657b4b…34f1d0 UNDERSHUNT_PROTECTION Fail None 2 years ago 2 years ago 2.2.2 No tags
669c8b…36d263 UNDERSHUNT_PROTECTION Fail None 2 years ago 2 years ago 2.2.6 No tags
669c8b…36d6a4 UNDERSHUNT_PROTECTION Fail None 2 years ago 2 years ago 2.2.6 No tags
6557ae…33d396 ADC_CALIBRATION Pass None 2 years ago 2 years ago 2.1.0rc5 No tags
657b4a…34ed9e ADC_CALIBRATION Pass None 2 years ago 2 years ago 2.2.2 No tags
65cd0d…74eebc ADC_CALIBRATION Pass None 2 years ago 2 years ago 2.2.2 No tags
669c8a…36cc89 ADC_CALIBRATION Pass None 2 years ago 2 years ago 2.2.6 No tags
669c8a…36cebe ADC_CALIBRATION Pass None 2 years ago 2 years ago 2.2.6 No tags
669c8b…36d2f9 ADC_CALIBRATION Pass None 2 years ago 2 years ago 2.2.6 No tags Selected
6556ee…33d36f OVERVOLTAGE_PROTECTION Fail None 2 years ago 2 years ago 2.1.0rc5 No tags
657b4a…34eeb0 OVERVOLTAGE_PROTECTION Fail None 2 years ago 2 years ago 2.2.2 No tags
669c8a…36cd77 OVERVOLTAGE_PROTECTION Fail None 2 years ago 2 years ago 2.2.6 No tags
669c8b…36d098 OVERVOLTAGE_PROTECTION Fail None 2 years ago 2 years ago 2.2.6 No tags
669c8b…36d533 OVERVOLTAGE_PROTECTION Fail None 2 years ago 2 years ago 2.2.6 No tags Selected
6556ee…33d34b LP_MODE Fail None 2 years ago 2 years ago 2.1.0rc5 No tags
657b4a…34ee90 LP_MODE Fail None 2 years ago 2 years ago 2.2.2 No tags
669c8a…36cd57 LP_MODE Fail None 2 years ago 2 years ago 2.2.6 No tags
669c8a…36d037 LP_MODE Fail None 2 years ago 2 years ago 2.2.6 No tags
669c8b…36d4ec LP_MODE Fail None 2 years ago 2 years ago 2.2.6 No tags Selected
6556b6…5a1853 INJECTION_CAPACITANCE Pass None 2 years ago 2 years ago 2.1.0rc5 No tags
657b4a…34eed6 INJECTION_CAPACITANCE Pass None 2 years ago 2 years ago 2.2.2 No tags
669c8a…36cd9d INJECTION_CAPACITANCE Pass None 2 years ago 2 years ago 2.2.6 No tags
669c8b…36d0e5 INJECTION_CAPACITANCE Pass None 2 years ago 2 years ago 2.2.6 No tags
669c8b…36d56f INJECTION_CAPACITANCE Pass None 2 years ago 2 years ago 2.2.6 No tags Selected
6556b6…5a1822 VCAL_CALIBRATION Pass None 2 years ago 2 years ago 2.1.0rc5 No tags
657b4a…34edf7 VCAL_CALIBRATION Pass None 2 years ago 2 years ago 2.2.2 No tags
669c8a…36ccdc VCAL_CALIBRATION Pass None 2 years ago 2 years ago 2.2.6 No tags
669c8a…36cf58 VCAL_CALIBRATION Pass None 2 years ago 2 years ago 2.2.6 No tags
669c8b…36d3a1 VCAL_CALIBRATION Pass None 2 years ago 2 years ago 2.2.6 No tags Selected
6556b6…5a17f3 SLDO Fail None 2 years ago 2 years ago 2.1.0rc5 No tags
657b4a…34edca SLDO Fail None 2 years ago 2 years ago 2.2.2 No tags
669c8a…36ccaf SLDO Fail None 2 years ago 2 years ago 2.2.6 No tags
669c8a…36cefa SLDO Fail None 2 years ago 2 years ago 2.2.6 No tags
669c8b…36d336 SLDO Fail None 2 years ago 2 years ago 2.2.6 No tags Selected
6556b4…5a1798 ANALOG_READBACK Fail None 2 years ago 2 years ago 2.1.0rc5 No tags
657b4a…34ee3d ANALOG_READBACK Fail None 2 years ago 2 years ago 2.2.2 No tags
669c8a…36cd18 ANALOG_READBACK Fail None 2 years ago 2 years ago 2.2.6 No tags
669c8a…36cfe1 ANALOG_READBACK Fail None 2 years ago 2 years ago 2.2.6 No tags
669c8b…36d437 ANALOG_READBACK Fail None 2 years ago 2 years ago 2.2.6 No tags Selected
6556af…5a175c ADC_CALIBRATION Pass None 2 years ago 2 years ago 2.1.0rc5 No tags
6556a1…5a1730 ADC_CALIBRATION Pass None 2 years ago 2 years ago 2.1.0rc5 No tags

Past QC Stages and Results

Wire Bonding (MODULE/WIREBONDING)

Bare module to module PCB assembly (MODULE/ASSEMBLY)

Initial state to associate flex to bare module (MODULE/INIT)

Reception at ITk institute (BAREMODULERECEPTION)

Test Local Result ProdDB Record
Analog Readback
(ANALOG_READBACK)
No result N/A
Minimal Health Test
(MIN_HEALTH_TEST)
No result N/A

Bare module assembly (BAREMODULEASSEMBLY)

Not to be used for detector (UNUSABLE)

Hybridisation (HYBRIDISATION)

Testing on wafer (TESTONWAFER)

Test Local Result ProdDB Record
Electrical FE chip tests
(FECHIP_TEST)
No result N/A
LocalDB Test ID Stage Test Name Inspector Measurement Date Analysis Date Tags QC Registration
67180f…7b0928 MODULE/INITIAL_WARM ADC_CALIBRATION None a year ago a year ago No tags
66f6cd…197384 MODULE/INITIAL_WARM LP_MODE None a year ago a year ago No tags
66f45b…6273da MODULE/INITIAL_WARM DATA_TRANSMISSION None a year ago a year ago No tags
66f45b…6273b4 MODULE/INITIAL_WARM LP_MODE None a year ago a year ago No tags
66f45a…62737e MODULE/INITIAL_WARM INJECTION_CAPACITANCE None a year ago a year ago No tags
66f459…62733c MODULE/INITIAL_WARM VCAL_CALIBRATION None a year ago a year ago No tags
66f458…627302 MODULE/INITIAL_WARM SLDO None a year ago a year ago No tags
66f455…6272a3 MODULE/INITIAL_WARM ANALOG_READBACK None a year ago a year ago No tags
66f44f…62726b MODULE/INITIAL_WARM ADC_CALIBRATION None a year ago a year ago No tags
66f43d…627205 MODULE/INITIAL_WARM ANALOG_READBACK None a year ago a year ago No tags
669c8b…36d8ac MODULE/INITIAL_WARM PIXEL_FAILURE_ANALYSIS None N/A a year ago No tags Selected
669c8b…36d767 MODULE/INITIAL_WARM TUNING None N/A a year ago No tags Selected
669c8b…36d5fc MODULE/INITIAL_WARM MIN_HEALTH_TEST None N/A a year ago No tags Selected
669c8b…36d525 MODULE/INITIAL_WARM PIXEL_FAILURE_ANALYSIS None N/A a year ago No tags
669c8b…36d2f2 MODULE/INITIAL_WARM TUNING None N/A a year ago No tags
669c8b…36d16d MODULE/INITIAL_WARM MIN_HEALTH_TEST None N/A a year ago No tags
669c8b…36d0d1 MODULE/INITIAL_WARM PIXEL_FAILURE_ANALYSIS None N/A a year ago No tags
669c8a…36ceb1 MODULE/INITIAL_WARM TUNING None N/A a year ago No tags
669c8a…36cde3 MODULE/INITIAL_WARM MIN_HEALTH_TEST None N/A a year ago No tags
6696d5…467267 MODULE/INITIAL_WARM PIXEL_FAILURE_ANALYSIS None N/A a year ago No tags
6696d4…467175 MODULE/INITIAL_WARM TUNING None N/A a year ago No tags
6696d3…46709c MODULE/INITIAL_WARM MIN_HEALTH_TEST None N/A a year ago No tags
6695c6…9d9cf8 MODULE/INITIAL_WARM DATA_TRANSMISSION None a year ago a year ago No tags
669c8c…36d994 MODULE/INITIAL_WARM DATA_TRANSMISSION None a year ago a year ago No tags Selected
6695c6…9d9cd2 MODULE/INITIAL_WARM UNDERSHUNT_PROTECTION None a year ago a year ago No tags
669c8c…36d975 MODULE/INITIAL_WARM UNDERSHUNT_PROTECTION None a year ago a year ago No tags Selected
6695c5…9d9cae MODULE/INITIAL_WARM OVERVOLTAGE_PROTECTION None a year ago a year ago No tags
6695c0…9d9c84 MODULE/INITIAL_WARM LP_MODE None a year ago a year ago No tags
6695bf…9d9c4d MODULE/INITIAL_WARM INJECTION_CAPACITANCE None a year ago a year ago No tags
6695be…9d9c0b MODULE/INITIAL_WARM VCAL_CALIBRATION None a year ago a year ago No tags
6695bc…9d9bcc MODULE/INITIAL_WARM SLDO None a year ago a year ago No tags
6695b9…9d9b60 MODULE/INITIAL_WARM ANALOG_READBACK None a year ago a year ago No tags
6695b2…9d9b28 MODULE/INITIAL_WARM ADC_CALIBRATION None a year ago a year ago No tags
66955a…e397c0 MODULE/INITIAL_WARM SLDO None a year ago a year ago No tags
66903b…05d352 MODULE/INITIAL_WARM SLDO None a year ago a year ago No tags
669038…05d31f MODULE/INITIAL_WARM DATA_TRANSMISSION None a year ago a year ago No tags
669038…05d2f9 MODULE/INITIAL_WARM UNDERSHUNT_PROTECTION None a year ago a year ago No tags
669036…05d2d5 MODULE/INITIAL_WARM OVERVOLTAGE_PROTECTION None a year ago a year ago No tags
669031…05d2b1 MODULE/INITIAL_WARM LP_MODE None a year ago a year ago No tags
669030…05d279 MODULE/INITIAL_WARM INJECTION_CAPACITANCE None a year ago a year ago No tags
66902f…05d237 MODULE/INITIAL_WARM VCAL_CALIBRATION None a year ago a year ago No tags
66902d…05d1f9 MODULE/INITIAL_WARM SLDO None a year ago a year ago No tags
669028…05d176 MODULE/INITIAL_WARM ANALOG_READBACK None a year ago a year ago No tags
669021…05d122 MODULE/INITIAL_WARM ADC_CALIBRATION None a year ago a year ago No tags
657cea…01d593 MODULE/POST_PARYLENE_COLD PIXEL_FAILURE_ANALYSIS None N/A 2 years ago No tags Selected
657ce4…918a71 MODULE/POST_PARYLENE_COLD TUNING None N/A 2 years ago No tags Selected
657ce3…9189ac MODULE/POST_PARYLENE_COLD MIN_HEALTH_TEST None N/A 2 years ago No tags Selected
657cad…918909 MODULE/POST_PARYLENE_COLD MIN_HEALTH_TEST None N/A 2 years ago No tags
657ca2…91881f MODULE/POST_PARYLENE_COLD PIXEL_FAILURE_ANALYSIS None N/A 2 years ago No tags
657ca1…918775 MODULE/POST_PARYLENE_COLD MIN_HEALTH_TEST None N/A 2 years ago No tags
657bf6…3ce685 MODULE/POST_PARYLENE_COLD PIXEL_FAILURE_ANALYSIS None N/A 2 years ago No tags
657bf6…3ce658 MODULE/POST_PARYLENE_COLD TUNING None N/A 2 years ago No tags
657bf5…3ce5c6 MODULE/POST_PARYLENE_COLD MIN_HEALTH_TEST None N/A 2 years ago No tags
657bb5…fbb85a MODULE/POST_PARYLENE_COLD DATA_TRANSMISSION None 2 years ago 2 years ago No tags Selected
657bb5…fbb834 MODULE/POST_PARYLENE_COLD UNDERSHUNT_PROTECTION None 2 years ago 2 years ago No tags Selected
657bb4…fbb810 MODULE/POST_PARYLENE_COLD OVERVOLTAGE_PROTECTION None 2 years ago 2 years ago No tags Selected
657bb4…fbb7ec MODULE/POST_PARYLENE_COLD LP_MODE None 2 years ago 2 years ago No tags Selected
657bb2…fbb7b6 MODULE/POST_PARYLENE_COLD INJECTION_CAPACITANCE None 2 years ago 2 years ago No tags Selected
657bb2…fbb774 MODULE/POST_PARYLENE_COLD VCAL_CALIBRATION None 2 years ago 2 years ago No tags Selected
657bb1…fbb736 MODULE/POST_PARYLENE_COLD SLDO None 2 years ago 2 years ago No tags Selected
657baf…fbb6b5 MODULE/POST_PARYLENE_COLD ANALOG_READBACK None 2 years ago 2 years ago No tags Selected
657ba7…fbb3c3 MODULE/POST_PARYLENE_COLD ADC_CALIBRATION None 2 years ago 2 years ago No tags Selected
657b93…fbb2a5 MODULE/POST_PARYLENE_WARM PIXEL_FAILURE_ANALYSIS None N/A 2 years ago No tags Selected
657b91…fbb185 MODULE/POST_PARYLENE_WARM TUNING None N/A 2 years ago No tags Selected
657b90…fbb0c5 MODULE/POST_PARYLENE_WARM MIN_HEALTH_TEST None N/A 2 years ago No tags Selected
657b52…34f78e MODULE/POST_PARYLENE_WARM DATA_TRANSMISSION None 2 years ago 2 years ago No tags Selected
657b4e…34f758 MODULE/POST_PARYLENE_WARM OVERVOLTAGE_PROTECTION None 2 years ago 2 years ago No tags Selected
657b4d…34f655 MODULE/INITIAL_COLD PIXEL_FAILURE_ANALYSIS None N/A 2 years ago No tags
657b4d…34f52e MODULE/INITIAL_COLD TUNING None N/A 2 years ago No tags
657b4d…34f46a MODULE/INITIAL_COLD MIN_HEALTH_TEST None N/A 2 years ago No tags
657b4d…34f393 MODULE/POST_PARYLENE_WARM DATA_TRANSMISSION None 2 years ago 2 years ago No tags
657b4d…34f2ea MODULE/POST_PARYLENE_WARM UNDERSHUNT_PROTECTION None 2 years ago 2 years ago No tags Selected
657b4c…34f247 MODULE/POST_PARYLENE_WARM OVERVOLTAGE_PROTECTION None 2 years ago 2 years ago No tags
657b4a…34f10b MODULE/INITIAL_WARM PIXEL_FAILURE_ANALYSIS None N/A 2 years ago No tags
657b4a…34efe5 MODULE/INITIAL_WARM TUNING None N/A 2 years ago No tags
657b4a…34ef1c MODULE/INITIAL_WARM MIN_HEALTH_TEST None N/A 2 years ago No tags
655e57…893684 MODULE/POST_PARYLENE_WARM DATA_TRANSMISSION None 2 years ago 2 years ago No tags
655e56…893662 MODULE/POST_PARYLENE_WARM UNDERSHUNT_PROTECTION None 2 years ago 2 years ago No tags
655e56…893642 MODULE/POST_PARYLENE_WARM OVERVOLTAGE_PROTECTION None 2 years ago 2 years ago No tags
655e50…893622 MODULE/POST_PARYLENE_WARM LP_MODE None 2 years ago 2 years ago No tags Selected
655e44…e8f733 MODULE/POST_PARYLENE_WARM INJECTION_CAPACITANCE None 2 years ago 2 years ago No tags Selected
655e43…e8f6f5 MODULE/POST_PARYLENE_WARM VCAL_CALIBRATION None 2 years ago 2 years ago No tags Selected
655e43…e8f6bb MODULE/POST_PARYLENE_WARM SLDO None 2 years ago 2 years ago No tags Selected
655e3f…e8f63e MODULE/POST_PARYLENE_WARM ANALOG_READBACK None 2 years ago 2 years ago No tags Selected
655e39…e8f5fa MODULE/POST_PARYLENE_WARM ADC_CALIBRATION None 2 years ago 2 years ago No tags Selected
655d52…093c03 MODULE/POST_PARYLENE_WARM SLDO None 2 years ago 2 years ago No tags
655d4e…093b86 MODULE/POST_PARYLENE_WARM ANALOG_READBACK None 2 years ago 2 years ago No tags
655d48…093b42 MODULE/POST_PARYLENE_WARM ADC_CALIBRATION None 2 years ago 2 years ago No tags
655d20…093a5b MODULE/INITIAL_COLD MIN_HEALTH_TEST None N/A 2 years ago No tags Selected
655d1f…09393c MODULE/INITIAL_COLD TUNING None N/A 2 years ago No tags Selected
655d1d…5c0f98 MODULE/INITIAL_COLD PIXEL_FAILURE_ANALYSIS None N/A 2 years ago No tags Selected
655c29…c33d84 MODULE/INITIAL_COLD DATA_TRANSMISSION None 2 years ago 2 years ago No tags
657b4e…34f732 MODULE/INITIAL_COLD DATA_TRANSMISSION None 2 years ago 2 years ago No tags Selected
655c03…ab17e9 MODULE/INITIAL_COLD DATA_TRANSMISSION None 2 years ago 2 years ago No tags
655c03…ab17c7 MODULE/INITIAL_COLD UNDERSHUNT_PROTECTION None 2 years ago 2 years ago No tags
657b4e…34f713 MODULE/INITIAL_COLD UNDERSHUNT_PROTECTION None 2 years ago 2 years ago No tags Selected
655c02…ab17a7 MODULE/INITIAL_COLD OVERVOLTAGE_PROTECTION None 2 years ago 2 years ago No tags
657b4d…34f3f9 MODULE/INITIAL_COLD OVERVOLTAGE_PROTECTION None 2 years ago 2 years ago No tags Selected
655c02…ab1787 MODULE/INITIAL_COLD LP_MODE None 2 years ago 2 years ago No tags
657b4d…34f3ca MODULE/INITIAL_COLD LP_MODE None 2 years ago 2 years ago No tags Selected
655c02…ab1755 MODULE/INITIAL_COLD INJECTION_CAPACITANCE None 2 years ago 2 years ago No tags
657b4d…34f41b MODULE/INITIAL_COLD INJECTION_CAPACITANCE None 2 years ago 2 years ago No tags Selected
655c01…ab1717 MODULE/INITIAL_COLD VCAL_CALIBRATION None 2 years ago 2 years ago No tags
657b4d…34f2cf MODULE/INITIAL_COLD VCAL_CALIBRATION None 2 years ago 2 years ago No tags Selected
655c01…ab16dd MODULE/INITIAL_COLD SLDO None 2 years ago 2 years ago No tags
657b4d…34f298 MODULE/INITIAL_COLD SLDO None 2 years ago 2 years ago No tags Selected
655bfe…ab1660 MODULE/INITIAL_COLD ANALOG_READBACK None 2 years ago 2 years ago No tags
657b4d…34f33a MODULE/INITIAL_COLD ANALOG_READBACK None 2 years ago 2 years ago No tags Selected
655bf8…ab161c MODULE/INITIAL_COLD ADC_CALIBRATION None 2 years ago 2 years ago No tags
657b4d…34f270 MODULE/INITIAL_COLD ADC_CALIBRATION None 2 years ago 2 years ago No tags Selected
655bf3…ab1516 MODULE/INITIAL_WARM PIXEL_FAILURE_ANALYSIS None N/A 2 years ago No tags
655bf2…ab1443 MODULE/INITIAL_WARM TUNING None N/A 2 years ago No tags
655bee…ab133c MODULE/INITIAL_WARM MIN_HEALTH_TEST None N/A 2 years ago No tags
655bcc…c04281 MODULE/INITIAL_WARM DATA_TRANSMISSION None 2 years ago 2 years ago No tags
657b4b…34f1eb MODULE/INITIAL_WARM DATA_TRANSMISSION None 2 years ago 2 years ago No tags
669c8b…36d283 MODULE/INITIAL_WARM DATA_TRANSMISSION None 2 years ago 2 years ago No tags
669c8b…36d6e5 MODULE/INITIAL_WARM DATA_TRANSMISSION None 2 years ago 2 years ago No tags
655bc9…c04255 MODULE/INITIAL_WARM DATA_TRANSMISSION None 2 years ago 2 years ago No tags
655bc9…c04229 MODULE/INITIAL_WARM DATA_TRANSMISSION None 2 years ago 2 years ago No tags
655801…3c7690 MODULE/INITIAL_WARM DATA_TRANSMISSION None 2 years ago 2 years ago No tags
6557f6…e37d02 MODULE/INITIAL_WARM UNDERSHUNT_PROTECTION None 2 years ago 2 years ago No tags
657b4b…34f1d0 MODULE/INITIAL_WARM UNDERSHUNT_PROTECTION None 2 years ago 2 years ago No tags
669c8b…36d263 MODULE/INITIAL_WARM UNDERSHUNT_PROTECTION None 2 years ago 2 years ago No tags
669c8b…36d6a4 MODULE/INITIAL_WARM UNDERSHUNT_PROTECTION None 2 years ago 2 years ago No tags
6557ae…33d396 MODULE/INITIAL_WARM ADC_CALIBRATION None 2 years ago 2 years ago No tags
657b4a…34ed9e MODULE/INITIAL_WARM ADC_CALIBRATION None 2 years ago 2 years ago No tags
65cd0d…74eebc MODULE/INITIAL_WARM ADC_CALIBRATION None 2 years ago 2 years ago No tags
669c8a…36cc89 MODULE/INITIAL_WARM ADC_CALIBRATION None 2 years ago 2 years ago No tags
669c8a…36cebe MODULE/INITIAL_WARM ADC_CALIBRATION None 2 years ago 2 years ago No tags
669c8b…36d2f9 MODULE/INITIAL_WARM ADC_CALIBRATION None 2 years ago 2 years ago No tags Selected
6556ee…33d36f MODULE/INITIAL_WARM OVERVOLTAGE_PROTECTION None 2 years ago 2 years ago No tags
657b4a…34eeb0 MODULE/INITIAL_WARM OVERVOLTAGE_PROTECTION None 2 years ago 2 years ago No tags
669c8a…36cd77 MODULE/INITIAL_WARM OVERVOLTAGE_PROTECTION None 2 years ago 2 years ago No tags
669c8b…36d098 MODULE/INITIAL_WARM OVERVOLTAGE_PROTECTION None 2 years ago 2 years ago No tags
669c8b…36d533 MODULE/INITIAL_WARM OVERVOLTAGE_PROTECTION None 2 years ago 2 years ago No tags Selected
6556ee…33d34b MODULE/INITIAL_WARM LP_MODE None 2 years ago 2 years ago No tags
657b4a…34ee90 MODULE/INITIAL_WARM LP_MODE None 2 years ago 2 years ago No tags
669c8a…36cd57 MODULE/INITIAL_WARM LP_MODE None 2 years ago 2 years ago No tags
669c8a…36d037 MODULE/INITIAL_WARM LP_MODE None 2 years ago 2 years ago No tags
669c8b…36d4ec MODULE/INITIAL_WARM LP_MODE None 2 years ago 2 years ago No tags Selected
6556b6…5a1853 MODULE/INITIAL_WARM INJECTION_CAPACITANCE None 2 years ago 2 years ago No tags
657b4a…34eed6 MODULE/INITIAL_WARM INJECTION_CAPACITANCE None 2 years ago 2 years ago No tags
669c8a…36cd9d MODULE/INITIAL_WARM INJECTION_CAPACITANCE None 2 years ago 2 years ago No tags
669c8b…36d0e5 MODULE/INITIAL_WARM INJECTION_CAPACITANCE None 2 years ago 2 years ago No tags
669c8b…36d56f MODULE/INITIAL_WARM INJECTION_CAPACITANCE None 2 years ago 2 years ago No tags Selected
6556b6…5a1822 MODULE/INITIAL_WARM VCAL_CALIBRATION None 2 years ago 2 years ago No tags
657b4a…34edf7 MODULE/INITIAL_WARM VCAL_CALIBRATION None 2 years ago 2 years ago No tags
669c8a…36ccdc MODULE/INITIAL_WARM VCAL_CALIBRATION None 2 years ago 2 years ago No tags
669c8a…36cf58 MODULE/INITIAL_WARM VCAL_CALIBRATION None 2 years ago 2 years ago No tags
669c8b…36d3a1 MODULE/INITIAL_WARM VCAL_CALIBRATION None 2 years ago 2 years ago No tags Selected
6556b6…5a17f3 MODULE/INITIAL_WARM SLDO None 2 years ago 2 years ago No tags
657b4a…34edca MODULE/INITIAL_WARM SLDO None 2 years ago 2 years ago No tags
669c8a…36ccaf MODULE/INITIAL_WARM SLDO None 2 years ago 2 years ago No tags
669c8a…36cefa MODULE/INITIAL_WARM SLDO None 2 years ago 2 years ago No tags
669c8b…36d336 MODULE/INITIAL_WARM SLDO None 2 years ago 2 years ago No tags Selected
6556b4…5a1798 MODULE/INITIAL_WARM ANALOG_READBACK None 2 years ago 2 years ago No tags
657b4a…34ee3d MODULE/INITIAL_WARM ANALOG_READBACK None 2 years ago 2 years ago No tags
669c8a…36cd18 MODULE/INITIAL_WARM ANALOG_READBACK None 2 years ago 2 years ago No tags
669c8a…36cfe1 MODULE/INITIAL_WARM ANALOG_READBACK None 2 years ago 2 years ago No tags
669c8b…36d437 MODULE/INITIAL_WARM ANALOG_READBACK None 2 years ago 2 years ago No tags Selected
6556af…5a175c MODULE/INITIAL_WARM ADC_CALIBRATION None 2 years ago 2 years ago No tags
6556a1…5a1730 MODULE/INITIAL_WARM ADC_CALIBRATION None 2 years ago 2 years ago No tags
622541…585526 TESTONWAFER FECHIP_TEST MarkStandke N/A 4 years ago No tags

Hide archived test results.

Run Date Test Type Stage User Site Tags Status
53 a year ago std_mergedbumpscan MODULE/INITIAL_WARM dfellers spikepig.dhcp.lbl.gov PFA Pass
52 a year ago std_discbumpscan MODULE/INITIAL_WARM dfellers spikepig.dhcp.lbl.gov PFA Pass
51 a year ago std_noisescan MODULE/INITIAL_WARM dfellers spikepig.dhcp.lbl.gov PFA Pass
50 a year ago std_thresholdscan_hd MODULE/INITIAL_WARM dfellers spikepig.dhcp.lbl.gov PFA Pass
49 a year ago std_analogscan MODULE/INITIAL_WARM dfellers spikepig.dhcp.lbl.gov PFA Pass
48 a year ago std_digitalscan MODULE/INITIAL_WARM dfellers spikepig.dhcp.lbl.gov PFA Pass
47 a year ago std_totscan MODULE/INITIAL_WARM dfellers spikepig.dhcp.lbl.gov TUN Pass
46 a year ago std_thresholdscan_hd MODULE/INITIAL_WARM dfellers spikepig.dhcp.lbl.gov TUN Pass
45 a year ago std_tune_pixelthreshold MODULE/INITIAL_WARM dfellers spikepig.dhcp.lbl.gov TUN Pass
44 a year ago std_tune_globalthreshold MODULE/INITIAL_WARM dfellers spikepig.dhcp.lbl.gov TUN Pass
43 a year ago std_totscan MODULE/INITIAL_WARM dfellers spikepig.dhcp.lbl.gov TUN Pass
42 a year ago std_thresholdscan_hr MODULE/INITIAL_WARM dfellers spikepig.dhcp.lbl.gov TUN Pass
41 a year ago std_totscan MODULE/INITIAL_WARM dfellers spikepig.dhcp.lbl.gov MHT Pass
40 a year ago std_thresholdscan_hr MODULE/INITIAL_WARM dfellers spikepig.dhcp.lbl.gov MHT Pass
39 a year ago std_analogscan MODULE/INITIAL_WARM dfellers spikepig.dhcp.lbl.gov MHT Pass
38 a year ago std_digitalscan MODULE/INITIAL_WARM dfellers spikepig.dhcp.lbl.gov MHT Pass
18009 a year ago std_mergedbumpscan MODULE/INITIAL_WARM eathompson inkfish.dhcp.lbl.gov PFA Pass
18008 a year ago std_discbumpscan MODULE/INITIAL_WARM eathompson inkfish.dhcp.lbl.gov PFA Pass
18007 a year ago std_noisescan MODULE/INITIAL_WARM eathompson inkfish.dhcp.lbl.gov PFA Pass
18006 a year ago std_thresholdscan_hd MODULE/INITIAL_WARM eathompson inkfish.dhcp.lbl.gov PFA Pass
18005 a year ago std_analogscan MODULE/INITIAL_WARM eathompson inkfish.dhcp.lbl.gov PFA Pass
18004 a year ago std_digitalscan MODULE/INITIAL_WARM eathompson inkfish.dhcp.lbl.gov PFA Pass
18003 a year ago std_totscan MODULE/INITIAL_WARM eathompson inkfish.dhcp.lbl.gov TUN Pass
18002 a year ago std_thresholdscan_hd MODULE/INITIAL_WARM eathompson inkfish.dhcp.lbl.gov TUN Pass
18001 a year ago std_tune_pixelthreshold MODULE/INITIAL_WARM eathompson inkfish.dhcp.lbl.gov TUN Pass
18000 a year ago std_tune_globalthreshold MODULE/INITIAL_WARM eathompson inkfish.dhcp.lbl.gov TUN Pass
17999 a year ago std_totscan MODULE/INITIAL_WARM eathompson inkfish.dhcp.lbl.gov TUN Pass
17998 a year ago std_thresholdscan_hr MODULE/INITIAL_WARM eathompson inkfish.dhcp.lbl.gov TUN Pass
17997 a year ago std_tune_globalthreshold MODULE/INITIAL_WARM eathompson inkfish.dhcp.lbl.gov TUN Pass
17996 a year ago std_totscan MODULE/INITIAL_WARM eathompson inkfish.dhcp.lbl.gov MHT Pass
17995 a year ago std_thresholdscan_hr MODULE/INITIAL_WARM eathompson inkfish.dhcp.lbl.gov MHT Pass
17994 a year ago std_analogscan MODULE/INITIAL_WARM eathompson inkfish.dhcp.lbl.gov MHT Pass
17993 a year ago std_digitalscan MODULE/INITIAL_WARM eathompson inkfish.dhcp.lbl.gov MHT Pass
17913 a year ago std_totscan MODULE/INITIAL_WARM eathompson inkfish.dhcp.lbl.gov No tags Pass
17906 a year ago std_thresholdscan_hr MODULE/INITIAL_WARM eathompson inkfish.dhcp.lbl.gov No tags Pass
17822 a year ago std_digitalscan MODULE/WIREBOND_PROTECTION eathompson inkfish.dhcp.lbl.gov MHT Pass
619 2 years ago std_mergedbumpscan MODULE/POST_PARYLENE_COLD chultquist beakanimal.dhcp.lbl.gov PFA Pass
618 2 years ago std_discbumpscan MODULE/POST_PARYLENE_COLD chultquist beakanimal.dhcp.lbl.gov PFA Pass
617 2 years ago std_noisescan MODULE/POST_PARYLENE_COLD chultquist beakanimal.dhcp.lbl.gov PFA Pass
616 2 years ago std_thresholdscan_hd MODULE/POST_PARYLENE_COLD chultquist beakanimal.dhcp.lbl.gov PFA Pass
615 2 years ago std_analogscan MODULE/POST_PARYLENE_COLD chultquist beakanimal.dhcp.lbl.gov PFA Pass
614 2 years ago std_totscan MODULE/POST_PARYLENE_COLD chultquist beakanimal.dhcp.lbl.gov TUN Pass
613 2 years ago std_thresholdscan_hd MODULE/POST_PARYLENE_COLD chultquist beakanimal.dhcp.lbl.gov TUN Pass
612 2 years ago std_retune_pixelthreshold MODULE/POST_PARYLENE_COLD chultquist beakanimal.dhcp.lbl.gov TUN Pass
611 2 years ago std_retune_globalthreshold MODULE/POST_PARYLENE_COLD chultquist beakanimal.dhcp.lbl.gov TUN Pass
610 2 years ago std_tune_pixelthreshold MODULE/POST_PARYLENE_COLD chultquist beakanimal.dhcp.lbl.gov TUN Pass
609 2 years ago std_tune_globalthreshold MODULE/POST_PARYLENE_COLD chultquist beakanimal.dhcp.lbl.gov TUN Pass
608 2 years ago std_totscan MODULE/POST_PARYLENE_COLD chultquist beakanimal.dhcp.lbl.gov TUN Pass
607 2 years ago std_thresholdscan_hr MODULE/POST_PARYLENE_COLD chultquist beakanimal.dhcp.lbl.gov TUN Pass
606 2 years ago std_tune_globalthreshold MODULE/POST_PARYLENE_COLD chultquist beakanimal.dhcp.lbl.gov TUN Pass
605 2 years ago std_totscan MODULE/POST_PARYLENE_COLD chultquist beakanimal.dhcp.lbl.gov MHT Pass
604 2 years ago std_analogscan MODULE/POST_PARYLENE_COLD chultquist beakanimal.dhcp.lbl.gov MHT Pass
596 2 years ago std_digitalscan MODULE/POST_PARYLENE_COLD chultquist beakanimal.dhcp.lbl.gov PFA Pass
595 2 years ago std_thresholdscan_hr MODULE/POST_PARYLENE_COLD chultquist beakanimal.dhcp.lbl.gov MHT Pass
594 2 years ago std_digitalscan MODULE/POST_PARYLENE_COLD chultquist beakanimal.dhcp.lbl.gov MHT Pass
593 2 years ago std_thresholdscan_zerobias MODULE/POST_PARYLENE_COLD chultquist beakanimal.dhcp.lbl.gov PFA Pass
592 2 years ago std_thresholdscan_hd MODULE/POST_PARYLENE_COLD chultquist beakanimal.dhcp.lbl.gov TUN Pass
591 2 years ago std_thresholdscan_hr MODULE/POST_PARYLENE_COLD chultquist beakanimal.dhcp.lbl.gov MHT Pass
590 2 years ago std_thresholdscan_zerobias MODULE/POST_PARYLENE_COLD chultquist beakanimal.dhcp.lbl.gov PFA Pass
589 2 years ago std_mergedbumpscan MODULE/POST_PARYLENE_COLD chultquist beakanimal.dhcp.lbl.gov PFA Pass
588 2 years ago std_discbumpscan MODULE/POST_PARYLENE_COLD chultquist beakanimal.dhcp.lbl.gov PFA Pass
587 2 years ago std_noisescan MODULE/POST_PARYLENE_COLD chultquist beakanimal.dhcp.lbl.gov PFA Pass
586 2 years ago std_thresholdscan_hd MODULE/POST_PARYLENE_COLD chultquist beakanimal.dhcp.lbl.gov PFA Pass
585 2 years ago std_analogscan MODULE/POST_PARYLENE_COLD chultquist beakanimal.dhcp.lbl.gov PFA Pass
584 2 years ago std_digitalscan MODULE/POST_PARYLENE_COLD chultquist beakanimal.dhcp.lbl.gov PFA Pass
583 2 years ago std_totscan MODULE/POST_PARYLENE_COLD chultquist beakanimal.dhcp.lbl.gov TUN Pass
582 2 years ago std_thresholdscan_hd MODULE/POST_PARYLENE_COLD chultquist beakanimal.dhcp.lbl.gov TUN Pass
581 2 years ago std_retune_pixelthreshold MODULE/POST_PARYLENE_COLD chultquist beakanimal.dhcp.lbl.gov TUN Pass
580 2 years ago std_retune_globalthreshold MODULE/POST_PARYLENE_COLD chultquist beakanimal.dhcp.lbl.gov TUN Pass
579 2 years ago std_tune_pixelthreshold MODULE/POST_PARYLENE_COLD chultquist beakanimal.dhcp.lbl.gov TUN Pass
578 2 years ago std_tune_globalthreshold MODULE/POST_PARYLENE_COLD chultquist beakanimal.dhcp.lbl.gov TUN Pass
577 2 years ago std_totscan MODULE/POST_PARYLENE_COLD chultquist beakanimal.dhcp.lbl.gov TUN Pass
576 2 years ago std_thresholdscan_hr MODULE/POST_PARYLENE_COLD chultquist beakanimal.dhcp.lbl.gov TUN Pass
575 2 years ago std_tune_globalthreshold MODULE/POST_PARYLENE_COLD chultquist beakanimal.dhcp.lbl.gov TUN Pass
574 2 years ago std_totscan MODULE/POST_PARYLENE_COLD chultquist beakanimal.dhcp.lbl.gov MHT Pass
573 2 years ago std_thresholdscan_hr MODULE/POST_PARYLENE_COLD chultquist beakanimal.dhcp.lbl.gov MHT Pass
572 2 years ago std_analogscan MODULE/POST_PARYLENE_COLD chultquist beakanimal.dhcp.lbl.gov MHT Pass
571 2 years ago std_digitalscan MODULE/POST_PARYLENE_COLD chultquist beakanimal.dhcp.lbl.gov MHT Pass
559 2 years ago std_thresholdscan_zerobias MODULE/POST_PARYLENE_WARM chultquist beakanimal.dhcp.lbl.gov PFA Pass
558 2 years ago std_mergedbumpscan MODULE/POST_PARYLENE_WARM chultquist beakanimal.dhcp.lbl.gov PFA Pass
557 2 years ago std_discbumpscan MODULE/POST_PARYLENE_WARM chultquist beakanimal.dhcp.lbl.gov PFA Pass
556 2 years ago std_noisescan MODULE/POST_PARYLENE_WARM chultquist beakanimal.dhcp.lbl.gov PFA Pass
555 2 years ago std_thresholdscan_hd MODULE/POST_PARYLENE_WARM chultquist beakanimal.dhcp.lbl.gov PFA Pass
554 2 years ago std_analogscan MODULE/POST_PARYLENE_WARM chultquist beakanimal.dhcp.lbl.gov PFA Pass
553 2 years ago std_digitalscan MODULE/POST_PARYLENE_WARM chultquist beakanimal.dhcp.lbl.gov PFA Pass
552 2 years ago std_totscan MODULE/POST_PARYLENE_WARM chultquist beakanimal.dhcp.lbl.gov TUN Pass
551 2 years ago std_thresholdscan_hd MODULE/POST_PARYLENE_WARM chultquist beakanimal.dhcp.lbl.gov TUN Pass
550 2 years ago std_retune_pixelthreshold MODULE/POST_PARYLENE_WARM chultquist beakanimal.dhcp.lbl.gov TUN Pass
549 2 years ago std_retune_globalthreshold MODULE/POST_PARYLENE_WARM chultquist beakanimal.dhcp.lbl.gov TUN Pass
548 2 years ago std_tune_pixelthreshold MODULE/POST_PARYLENE_WARM chultquist beakanimal.dhcp.lbl.gov TUN Pass
547 2 years ago std_tune_globalthreshold MODULE/POST_PARYLENE_WARM chultquist beakanimal.dhcp.lbl.gov TUN Pass
546 2 years ago std_totscan MODULE/POST_PARYLENE_WARM chultquist beakanimal.dhcp.lbl.gov TUN Pass
545 2 years ago std_thresholdscan_hr MODULE/POST_PARYLENE_WARM chultquist beakanimal.dhcp.lbl.gov TUN Pass
544 2 years ago std_tune_globalthreshold MODULE/POST_PARYLENE_WARM chultquist beakanimal.dhcp.lbl.gov TUN Pass
543 2 years ago std_totscan MODULE/POST_PARYLENE_WARM chultquist beakanimal.dhcp.lbl.gov MHT Pass
542 2 years ago std_thresholdscan_hr MODULE/POST_PARYLENE_WARM chultquist beakanimal.dhcp.lbl.gov MHT Pass
541 2 years ago std_analogscan MODULE/POST_PARYLENE_WARM chultquist beakanimal.dhcp.lbl.gov MHT Pass
540 2 years ago std_digitalscan MODULE/POST_PARYLENE_WARM chultquist beakanimal.dhcp.lbl.gov MHT Pass
537 2 years ago std_tune_globalthreshold MODULE/POST_PARYLENE_WARM chultquist beakanimal.dhcp.lbl.gov TUN Pass
536 2 years ago std_totscan MODULE/POST_PARYLENE_WARM chultquist beakanimal.dhcp.lbl.gov MHT Pass
535 2 years ago std_thresholdscan_hr MODULE/POST_PARYLENE_WARM chultquist beakanimal.dhcp.lbl.gov MHT Pass
534 2 years ago std_analogscan MODULE/POST_PARYLENE_WARM chultquist beakanimal.dhcp.lbl.gov MHT Pass
533 2 years ago std_digitalscan MODULE/POST_PARYLENE_WARM chultquist beakanimal.dhcp.lbl.gov MHT Pass
451 2 years ago std_thresholdscan_zerobias MODULE/INITIAL_COLD chultquist beakanimal.dhcp.lbl.gov PFA Pass
450 2 years ago std_mergedbumpscan MODULE/INITIAL_COLD chultquist beakanimal.dhcp.lbl.gov PFA Pass
449 2 years ago std_discbumpscan MODULE/INITIAL_COLD chultquist beakanimal.dhcp.lbl.gov PFA Pass
448 2 years ago std_noisescan MODULE/INITIAL_COLD chultquist beakanimal.dhcp.lbl.gov PFA Pass
447 2 years ago std_thresholdscan_hd MODULE/INITIAL_COLD chultquist beakanimal.dhcp.lbl.gov PFA Pass
446 2 years ago std_analogscan MODULE/INITIAL_COLD chultquist beakanimal.dhcp.lbl.gov PFA Pass
445 2 years ago std_digitalscan MODULE/INITIAL_COLD chultquist beakanimal.dhcp.lbl.gov PFA Pass
444 2 years ago std_totscan MODULE/INITIAL_COLD chultquist beakanimal.dhcp.lbl.gov TUN Pass
443 2 years ago std_thresholdscan_hd MODULE/INITIAL_COLD chultquist beakanimal.dhcp.lbl.gov TUN Pass
442 2 years ago std_retune_pixelthreshold MODULE/INITIAL_COLD chultquist beakanimal.dhcp.lbl.gov TUN Pass
441 2 years ago std_retune_globalthreshold MODULE/INITIAL_COLD chultquist beakanimal.dhcp.lbl.gov TUN Pass
440 2 years ago std_tune_pixelthreshold MODULE/INITIAL_COLD chultquist beakanimal.dhcp.lbl.gov TUN Pass
439 2 years ago std_tune_globalthreshold MODULE/INITIAL_COLD chultquist beakanimal.dhcp.lbl.gov TUN Pass
438 2 years ago std_totscan MODULE/INITIAL_COLD chultquist beakanimal.dhcp.lbl.gov TUN Pass
437 2 years ago std_thresholdscan_hr MODULE/INITIAL_COLD chultquist beakanimal.dhcp.lbl.gov TUN Pass
436 2 years ago std_tune_globalthreshold MODULE/INITIAL_COLD chultquist beakanimal.dhcp.lbl.gov TUN Pass
435 2 years ago std_totscan MODULE/INITIAL_COLD chultquist beakanimal.dhcp.lbl.gov MHT Pass
434 2 years ago std_thresholdscan_hr MODULE/INITIAL_COLD chultquist beakanimal.dhcp.lbl.gov MHT Pass
433 2 years ago std_analogscan MODULE/INITIAL_COLD chultquist beakanimal.dhcp.lbl.gov MHT Pass
432 2 years ago std_digitalscan MODULE/INITIAL_COLD chultquist beakanimal.dhcp.lbl.gov MHT Pass
416 2 years ago std_thresholdscan_zerobias MODULE/INITIAL_WARM chultquist beakanimal.dhcp.lbl.gov PFA Pass
415 2 years ago std_mergedbumpscan MODULE/INITIAL_WARM chultquist beakanimal.dhcp.lbl.gov PFA Pass
414 2 years ago std_discbumpscan MODULE/INITIAL_WARM chultquist beakanimal.dhcp.lbl.gov PFA Pass
413 2 years ago std_noisescan MODULE/INITIAL_WARM chultquist beakanimal.dhcp.lbl.gov PFA Pass
412 2 years ago std_thresholdscan_hd MODULE/INITIAL_WARM chultquist beakanimal.dhcp.lbl.gov PFA Pass
411 2 years ago std_analogscan MODULE/INITIAL_WARM chultquist beakanimal.dhcp.lbl.gov PFA Pass
410 2 years ago std_digitalscan MODULE/INITIAL_WARM chultquist beakanimal.dhcp.lbl.gov PFA Pass
409 2 years ago std_totscan MODULE/INITIAL_WARM chultquist beakanimal.dhcp.lbl.gov TUN Pass
408 2 years ago std_thresholdscan_hd MODULE/INITIAL_WARM chultquist beakanimal.dhcp.lbl.gov TUN Pass
407 2 years ago std_retune_pixelthreshold MODULE/INITIAL_WARM chultquist beakanimal.dhcp.lbl.gov TUN Pass
406 2 years ago std_retune_globalthreshold MODULE/INITIAL_WARM chultquist beakanimal.dhcp.lbl.gov TUN Pass
405 2 years ago std_tune_pixelthreshold MODULE/INITIAL_WARM chultquist beakanimal.dhcp.lbl.gov TUN Pass
404 2 years ago std_tune_globalthreshold MODULE/INITIAL_WARM chultquist beakanimal.dhcp.lbl.gov TUN Pass
403 2 years ago std_totscan MODULE/INITIAL_WARM chultquist beakanimal.dhcp.lbl.gov TUN Pass
402 2 years ago std_thresholdscan_hr MODULE/INITIAL_WARM chultquist beakanimal.dhcp.lbl.gov TUN Pass
401 2 years ago std_tune_globalthreshold MODULE/INITIAL_WARM chultquist beakanimal.dhcp.lbl.gov TUN Pass
400 2 years ago std_totscan MODULE/INITIAL_WARM chultquist beakanimal.dhcp.lbl.gov MHT Pass
399 2 years ago std_thresholdscan_hr MODULE/INITIAL_WARM chultquist beakanimal.dhcp.lbl.gov MHT Pass
398 2 years ago std_analogscan MODULE/INITIAL_WARM chultquist beakanimal.dhcp.lbl.gov MHT Pass
397 2 years ago std_digitalscan MODULE/INITIAL_WARM chultquist beakanimal.dhcp.lbl.gov MHT Pass

Stage: MODULE/WIREBOND_PROTECTION

Mode: warm
Index Revision ID Timestamp Message
HEAD 6656...7e6a5c a year ago Submitted by YARR-dbAccessor (hostname: inkfish.dhcp.lbl.gov, user: eathompson)
HEAD^1 6580...b326b8 2 years ago downloaded from ITkPD : code = 0efaec53ef7aefcf0028d59e46c8468c, description = {"_id":"654288663faab532f97d1344","serialNumber":"20UPGFC0087194","stage":"MODULE/INITIAL_WARM","branch":"warm","current_revision_id":"655bd7f90d147942031014b3"}
Mode: cold
Index Revision ID Timestamp Message
HEAD 6580...b326ba 2 years ago downloaded from ITkPD : code = a48e097def388aa7ab904a49b06e35be, description = {"_id":"654288663faab532f97d134c","serialNumber":"20UPGFC0087194","stage":"MODULE/INITIAL_WARM","branch":"cold","current_revision_id":"654288663faab532f97d134d"}
Mode: LP
Index Revision ID Timestamp Message
HEAD 6580...b326bc 2 years ago downloaded from ITkPD : code = fdd5fc65d95a4616269468dfe02c6fe8, description = {"_id":"654288673faab532f97d1354","serialNumber":"20UPGFC0087194","stage":"MODULE/INITIAL_WARM","branch":"LP","current_revision_id":"6556ee43d78c45303f33d34c"}

Stage: MODULE/POST_PARYLENE_COLD

Mode: warm
Index Revision ID Timestamp Message
HEAD 657b...fbb3a1 2 years ago downloaded from ITkPD : code = 0efaec53ef7aefcf0028d59e46c8468c, description = {"_id":"654288663faab532f97d1344","serialNumber":"20UPGFC0087194","stage":"MODULE/INITIAL_WARM","branch":"warm","current_revision_id":"655bd7f90d147942031014b3"}
Mode: cold
Index Revision ID Timestamp Message
HEAD 657c...f62b86 2 years ago Submitted by YARR-dbAccessor (hostname: beakanimal.dhcp.lbl.gov, user: chultquist)
HEAD^1 657c...be5a8a 2 years ago Submitted by YARR-dbAccessor (hostname: beakanimal.dhcp.lbl.gov, user: chultquist)
HEAD^2 657c...a3605a 2 years ago Submitted by YARR-dbAccessor (hostname: beakanimal.dhcp.lbl.gov, user: chultquist)
HEAD^3 657c...620348 2 years ago Submitted by YARR-dbAccessor (hostname: beakanimal.dhcp.lbl.gov, user: chultquist)
HEAD^4 657c...57d8a0 2 years ago Submitted by YARR-dbAccessor (hostname: beakanimal.dhcp.lbl.gov, user: chultquist)
HEAD^5 657c...800a07 2 years ago Submitted by YARR-dbAccessor (hostname: beakanimal.dhcp.lbl.gov, user: chultquist)
HEAD^6 657c...5c602d 2 years ago Submitted by YARR-dbAccessor (hostname: beakanimal.dhcp.lbl.gov, user: chultquist)
HEAD^7 657c...0d83d2 2 years ago Submitted by YARR-dbAccessor (hostname: beakanimal.dhcp.lbl.gov, user: chultquist)
HEAD^8 657c...8870d5 2 years ago Submitted by YARR-dbAccessor (hostname: beakanimal.dhcp.lbl.gov, user: chultquist)
HEAD^9 657c...2c8b76 2 years ago Submitted by YARR-dbAccessor (hostname: beakanimal.dhcp.lbl.gov, user: chultquist)
HEAD^10 657c...0b8a0a 2 years ago Submitted by YARR-dbAccessor (hostname: beakanimal.dhcp.lbl.gov, user: chultquist)
HEAD^11 657c...221ef9 2 years ago Submitted by YARR-dbAccessor (hostname: beakanimal.dhcp.lbl.gov, user: chultquist)
HEAD^12 657c...a9ba3d 2 years ago Submitted by YARR-dbAccessor (hostname: beakanimal.dhcp.lbl.gov, user: chultquist)
HEAD^13 657c...22912b 2 years ago Submitted by YARR-dbAccessor (hostname: beakanimal.dhcp.lbl.gov, user: chultquist)
HEAD^14 657c...d2ec2f 2 years ago Submitted by YARR-dbAccessor (hostname: beakanimal.dhcp.lbl.gov, user: chultquist)
HEAD^15 657c...cf9392 2 years ago Submitted by YARR-dbAccessor (hostname: beakanimal.dhcp.lbl.gov, user: chultquist)
HEAD^16 657c...a9a4a1 2 years ago Submitted by YARR-dbAccessor (hostname: beakanimal.dhcp.lbl.gov, user: chultquist)
HEAD^17 657c...ab0b9e 2 years ago Submitted by YARR-dbAccessor (hostname: beakanimal.dhcp.lbl.gov, user: chultquist)
HEAD^18 657c...828f50 2 years ago Submitted by YARR-dbAccessor (hostname: beakanimal.dhcp.lbl.gov, user: chultquist)
HEAD^19 657c...527a2a 2 years ago Submitted by YARR-dbAccessor (hostname: beakanimal.dhcp.lbl.gov, user: chultquist)
HEAD^20 657c...b05350 2 years ago Submitted by YARR-dbAccessor (hostname: beakanimal.dhcp.lbl.gov, user: chultquist)
HEAD^21 657c...56ef57 2 years ago Submitted by YARR-dbAccessor (hostname: beakanimal.dhcp.lbl.gov, user: chultquist)
HEAD^22 657b...6fef87 2 years ago Submitted by YARR-dbAccessor (hostname: beakanimal.dhcp.lbl.gov, user: chultquist)
HEAD^23 657b...0f4116 2 years ago Submitted by YARR-dbAccessor (hostname: beakanimal.dhcp.lbl.gov, user: chultquist)
HEAD^24 657b...38a6a3 2 years ago Submitted by YARR-dbAccessor (hostname: beakanimal.dhcp.lbl.gov, user: chultquist)
HEAD^25 657b...504791 2 years ago Submitted by YARR-dbAccessor (hostname: beakanimal.dhcp.lbl.gov, user: chultquist)
HEAD^26 657b...e0a276 2 years ago Submitted by YARR-dbAccessor (hostname: beakanimal.dhcp.lbl.gov, user: chultquist)
HEAD^27 657b...e37415 2 years ago Submitted by YARR-dbAccessor (hostname: beakanimal.dhcp.lbl.gov, user: chultquist)
HEAD^28 657b...5746c1 2 years ago Submitted by YARR-dbAccessor (hostname: beakanimal.dhcp.lbl.gov, user: chultquist)
HEAD^29 657b...decb4c 2 years ago Submitted by YARR-dbAccessor (hostname: beakanimal.dhcp.lbl.gov, user: chultquist)
HEAD^30 657b...4fab11 2 years ago Submitted by YARR-dbAccessor (hostname: beakanimal.dhcp.lbl.gov, user: chultquist)
HEAD^31 657b...428818 2 years ago Submitted by YARR-dbAccessor (hostname: beakanimal.dhcp.lbl.gov, user: chultquist)
HEAD^32 657b...1434bb 2 years ago Submitted by YARR-dbAccessor (hostname: beakanimal.dhcp.lbl.gov, user: chultquist)
HEAD^33 657b...3a9707 2 years ago Submitted by YARR-dbAccessor (hostname: beakanimal.dhcp.lbl.gov, user: chultquist)
HEAD^34 657b...34b456 2 years ago Submitted by YARR-dbAccessor (hostname: beakanimal.dhcp.lbl.gov, user: chultquist)
HEAD^35 657b...ddcacb 2 years ago Submitted by YARR-dbAccessor (hostname: beakanimal.dhcp.lbl.gov, user: chultquist)
HEAD^36 657b...a166a7 2 years ago Submitted by YARR-dbAccessor (hostname: beakanimal.dhcp.lbl.gov, user: chultquist)
HEAD^37 657b...7633b5 2 years ago Submitted by YARR-dbAccessor (hostname: beakanimal.dhcp.lbl.gov, user: chultquist)
HEAD^38 657b...a84a82 2 years ago Submitted by YARR-dbAccessor (hostname: beakanimal.dhcp.lbl.gov, user: chultquist)
HEAD^39 657b...fbb85b 2 years ago config revision by DATA-TRANSMISSION with RAW data 657bb53f470c358679fbb851 and analysis result 657bb542470c358679fbb85a
HEAD^40 657b...fbb835 2 years ago config revision by UNDERSHUNT-PROTECTION with RAW data 657bb522470c358679fbb82d and analysis result 657bb525470c358679fbb834
HEAD^41 657b...fbb811 2 years ago config revision by OVERVOLTAGE-PROTECTION with RAW data 657bb45f470c358679fbb809 and analysis result 657bb461470c358679fbb810
HEAD^42 657b...fbb7b7 2 years ago config revision by INJECTION-CAPACITANCE with RAW data 657bb2f5470c358679fbb7a9 and analysis result 657bb2f8470c358679fbb7b6
HEAD^43 657b...fbb775 2 years ago config revision by VCAL-CALIBRATION with RAW data 657bb253470c358679fbb765 and analysis result 657bb256470c358679fbb774
HEAD^44 657b...fbb737 2 years ago config revision by SLDO with RAW data 657bb1d9470c358679fbb729 and analysis result 657bb1dd470c358679fbb736
HEAD^45 657b...fbb6b6 2 years ago config revision by ANALOG-READBACK with RAW data 657baf8a470c358679fbb691 and analysis result 657baf96470c358679fbb6b5
HEAD^46 657b...fbb3c4 2 years ago config revision by ADC-CALIBRATION with RAW data 657ba754470c358679fbb3ba and analysis result 657ba757470c358679fbb3c3
HEAD^47 657b...fbb3a3 2 years ago downloaded from ITkPD : code = a48e097def388aa7ab904a49b06e35be, description = {"_id":"654288663faab532f97d134c","serialNumber":"20UPGFC0087194","stage":"MODULE/INITIAL_WARM","branch":"cold","current_revision_id":"654288663faab532f97d134d"}
Mode: LP
Index Revision ID Timestamp Message
HEAD 657b...fbb7ed 2 years ago config revision by LP-MODE with RAW data 657bb416470c358679fbb7e5 and analysis result 657bb419470c358679fbb7ec
HEAD^1 657b...fbb3a5 2 years ago downloaded from ITkPD : code = fdd5fc65d95a4616269468dfe02c6fe8, description = {"_id":"654288673faab532f97d1354","serialNumber":"20UPGFC0087194","stage":"MODULE/INITIAL_WARM","branch":"LP","current_revision_id":"6556ee43d78c45303f33d34c"}

Stage: MODULE/POST_PARYLENE_WARM

Mode: warm
Index Revision ID Timestamp Message
HEAD 657b...b48775 2 years ago Submitted by YARR-dbAccessor (hostname: beakanimal.dhcp.lbl.gov, user: chultquist)
HEAD^1 657b...1ebfd9 2 years ago Submitted by YARR-dbAccessor (hostname: beakanimal.dhcp.lbl.gov, user: chultquist)
HEAD^2 657b...0e87f1 2 years ago Submitted by YARR-dbAccessor (hostname: beakanimal.dhcp.lbl.gov, user: chultquist)
HEAD^3 657b...f288a3 2 years ago Submitted by YARR-dbAccessor (hostname: beakanimal.dhcp.lbl.gov, user: chultquist)
HEAD^4 657b...92b8cc 2 years ago Submitted by YARR-dbAccessor (hostname: beakanimal.dhcp.lbl.gov, user: chultquist)
HEAD^5 657b...37e326 2 years ago Submitted by YARR-dbAccessor (hostname: beakanimal.dhcp.lbl.gov, user: chultquist)
HEAD^6 657b...075fbf 2 years ago Submitted by YARR-dbAccessor (hostname: beakanimal.dhcp.lbl.gov, user: chultquist)
HEAD^7 657b...968526 2 years ago Submitted by YARR-dbAccessor (hostname: beakanimal.dhcp.lbl.gov, user: chultquist)
HEAD^8 657b...eeb406 2 years ago Submitted by YARR-dbAccessor (hostname: beakanimal.dhcp.lbl.gov, user: chultquist)
HEAD^9 657b...850b4f 2 years ago Submitted by YARR-dbAccessor (hostname: beakanimal.dhcp.lbl.gov, user: chultquist)
HEAD^10 657b...7b3016 2 years ago Submitted by YARR-dbAccessor (hostname: beakanimal.dhcp.lbl.gov, user: chultquist)
HEAD^11 657b...e50bb2 2 years ago Submitted by YARR-dbAccessor (hostname: beakanimal.dhcp.lbl.gov, user: chultquist)
HEAD^12 657b...235e94 2 years ago Submitted by YARR-dbAccessor (hostname: beakanimal.dhcp.lbl.gov, user: chultquist)
HEAD^13 657b...a5cd16 2 years ago Submitted by YARR-dbAccessor (hostname: beakanimal.dhcp.lbl.gov, user: chultquist)
HEAD^14 657b...062dc1 2 years ago Submitted by YARR-dbAccessor (hostname: beakanimal.dhcp.lbl.gov, user: chultquist)
HEAD^15 657b...a490f5 2 years ago Submitted by YARR-dbAccessor (hostname: beakanimal.dhcp.lbl.gov, user: chultquist)
HEAD^16 657b...2ec7c2 2 years ago Submitted by YARR-dbAccessor (hostname: beakanimal.dhcp.lbl.gov, user: chultquist)
HEAD^17 657b...86aa03 2 years ago Submitted by YARR-dbAccessor (hostname: beakanimal.dhcp.lbl.gov, user: chultquist)
HEAD^18 657b...ac793c 2 years ago Submitted by YARR-dbAccessor (hostname: beakanimal.dhcp.lbl.gov, user: chultquist)
HEAD^19 657b...759346 2 years ago Submitted by YARR-dbAccessor (hostname: beakanimal.dhcp.lbl.gov, user: chultquist)
HEAD^20 657b...34f778 2 years ago downloaded from ITkPD : code = 0efaec53ef7aefcf0028d59e46c8468c, description = {"_id":"654288663faab532f97d1344","serialNumber":"20UPGFC0087194","stage":"MODULE/INITIAL_WARM","branch":"warm","current_revision_id":"655bd7f90d147942031014b3"}
HEAD^21 657b...932de7 2 years ago Submitted by YARR-dbAccessor (hostname: beakanimal.dhcp.lbl.gov, user: chultquist)
HEAD^22 657b...db6aa2 2 years ago Submitted by YARR-dbAccessor (hostname: beakanimal.dhcp.lbl.gov, user: chultquist)
HEAD^23 657b...5f101a 2 years ago Submitted by YARR-dbAccessor (hostname: beakanimal.dhcp.lbl.gov, user: chultquist)
HEAD^24 657b...34f21e 2 years ago downloaded from ITkPD : code = 0c46145655ebb6fcb93dd1c30762e665, description = {"_id":"654288663faab532f97d1344","serialNumber":"20UPGFC0087194","stage":"MODULE/INITIAL_WARM","branch":"warm","current_revision_id":"655bd7f90d147942031014b3"}
HEAD^25 655e...8936a8 2 years ago downloaded from ITkPD : code = 55f279c26484b9418da189f8344ef2f8, description = {"_id":"654288663faab532f97d1344","serialNumber":"20UPGFC0087194","stage":"MODULE/INITIAL_WARM","branch":"warm","current_revision_id":"655bd7f90d147942031014b3"}
Mode: cold
Index Revision ID Timestamp Message
HEAD 657b...34f779 2 years ago downloaded from ITkPD : code = a48e097def388aa7ab904a49b06e35be, description = {"_id":"654288663faab532f97d134c","serialNumber":"20UPGFC0087194","stage":"MODULE/INITIAL_WARM","branch":"cold","current_revision_id":"654288663faab532f97d134d"}
HEAD^1 657b...34f21f 2 years ago downloaded from ITkPD : code = a48e097def388aa7ab904a49b06e35be, description = {"_id":"654288663faab532f97d134c","serialNumber":"20UPGFC0087194","stage":"MODULE/INITIAL_WARM","branch":"cold","current_revision_id":"654288663faab532f97d134d"}
HEAD^2 655e...8936c2 2 years ago downloaded from ITkPD : code = a48e097def388aa7ab904a49b06e35be, description = {"_id":"654288663faab532f97d134c","serialNumber":"20UPGFC0087194","stage":"MODULE/INITIAL_WARM","branch":"cold","current_revision_id":"654288663faab532f97d134d"}
HEAD^3 655e...8936aa 2 years ago downloaded from ITkPD : code = a48e097def388aa7ab904a49b06e35be, description = {"_id":"654288663faab532f97d134c","serialNumber":"20UPGFC0087194","stage":"MODULE/INITIAL_WARM","branch":"cold","current_revision_id":"654288663faab532f97d134d"}
Mode: LP
Index Revision ID Timestamp Message
HEAD 657b...34f77a 2 years ago downloaded from ITkPD : code = fdd5fc65d95a4616269468dfe02c6fe8, description = {"_id":"654288673faab532f97d1354","serialNumber":"20UPGFC0087194","stage":"MODULE/INITIAL_WARM","branch":"LP","current_revision_id":"6556ee43d78c45303f33d34c"}
HEAD^1 657b...34f220 2 years ago downloaded from ITkPD : code = fdd5fc65d95a4616269468dfe02c6fe8, description = {"_id":"654288673faab532f97d1354","serialNumber":"20UPGFC0087194","stage":"MODULE/INITIAL_WARM","branch":"LP","current_revision_id":"6556ee43d78c45303f33d34c"}
HEAD^2 655e...8936c3 2 years ago downloaded from ITkPD : code = fdd5fc65d95a4616269468dfe02c6fe8, description = {"_id":"654288673faab532f97d1354","serialNumber":"20UPGFC0087194","stage":"MODULE/INITIAL_WARM","branch":"LP","current_revision_id":"6556ee43d78c45303f33d34c"}
HEAD^3 655e...8936ac 2 years ago downloaded from ITkPD : code = fdd5fc65d95a4616269468dfe02c6fe8, description = {"_id":"654288673faab532f97d1354","serialNumber":"20UPGFC0087194","stage":"MODULE/INITIAL_WARM","branch":"LP","current_revision_id":"6556ee43d78c45303f33d34c"}

Stage: MODULE/PARYLENE_UNMASKING

Mode: warm
Index Revision ID Timestamp Message
HEAD 655d...093b11 2 years ago downloaded from ITkPD : code = 55f279c26484b9418da189f8344ef2f8, description = {"_id":"654288663faab532f97d1344","serialNumber":"20UPGFC0087194","stage":"MODULE/INITIAL_WARM","branch":"warm","current_revision_id":"655bd7f90d147942031014b3"}
Mode: cold
Index Revision ID Timestamp Message
HEAD 655d...093b29 2 years ago downloaded from ITkPD : code = a48e097def388aa7ab904a49b06e35be, description = {"_id":"654288663faab532f97d134c","serialNumber":"20UPGFC0087194","stage":"MODULE/INITIAL_WARM","branch":"cold","current_revision_id":"654288663faab532f97d134d"}
HEAD^1 655d...093b13 2 years ago downloaded from ITkPD : code = a48e097def388aa7ab904a49b06e35be, description = {"_id":"654288663faab532f97d134c","serialNumber":"20UPGFC0087194","stage":"MODULE/INITIAL_WARM","branch":"cold","current_revision_id":"654288663faab532f97d134d"}
Mode: LP
Index Revision ID Timestamp Message
HEAD 655d...093b2a 2 years ago downloaded from ITkPD : code = fdd5fc65d95a4616269468dfe02c6fe8, description = {"_id":"654288673faab532f97d1354","serialNumber":"20UPGFC0087194","stage":"MODULE/INITIAL_WARM","branch":"LP","current_revision_id":"6556ee43d78c45303f33d34c"}
HEAD^1 655d...093b15 2 years ago downloaded from ITkPD : code = fdd5fc65d95a4616269468dfe02c6fe8, description = {"_id":"654288673faab532f97d1354","serialNumber":"20UPGFC0087194","stage":"MODULE/INITIAL_WARM","branch":"LP","current_revision_id":"6556ee43d78c45303f33d34c"}

Stage: MODULE/PARYLENE_MASKING

Mode: warm
Index Revision ID Timestamp Message
HEAD 655d...093af4 2 years ago downloaded from ITkPD : code = 55f279c26484b9418da189f8344ef2f8, description = {"_id":"654288663faab532f97d1344","serialNumber":"20UPGFC0087194","stage":"MODULE/INITIAL_WARM","branch":"warm","current_revision_id":"655bd7f90d147942031014b3"}
Mode: cold
Index Revision ID Timestamp Message
HEAD 655d...093af6 2 years ago downloaded from ITkPD : code = a48e097def388aa7ab904a49b06e35be, description = {"_id":"654288663faab532f97d134c","serialNumber":"20UPGFC0087194","stage":"MODULE/INITIAL_WARM","branch":"cold","current_revision_id":"654288663faab532f97d134d"}
Mode: LP
Index Revision ID Timestamp Message
HEAD 655d...093af8 2 years ago downloaded from ITkPD : code = fdd5fc65d95a4616269468dfe02c6fe8, description = {"_id":"654288673faab532f97d1354","serialNumber":"20UPGFC0087194","stage":"MODULE/INITIAL_WARM","branch":"LP","current_revision_id":"6556ee43d78c45303f33d34c"}

Stage: MODULE/INITIAL_COLD

Mode: warm
Index Revision ID Timestamp Message
HEAD 655d...4017b8 2 years ago copied from serialNumber 20UPGFC0087194, stage MODULE/INITIAL_WARM, branch warm, revision 655bd7f90d147942031014b3, and the config_data was uploaded to ITkPD
Mode: cold
Index Revision ID Timestamp Message
HEAD 655d...46e552 2 years ago Submitted by YARR-dbAccessor (hostname: beakanimal.dhcp.lbl.gov, user: chultquist)
HEAD^1 655d...c534d0 2 years ago Submitted by YARR-dbAccessor (hostname: beakanimal.dhcp.lbl.gov, user: chultquist)
HEAD^2 655d...eab931 2 years ago Submitted by YARR-dbAccessor (hostname: beakanimal.dhcp.lbl.gov, user: chultquist)
HEAD^3 655d...f6b828 2 years ago Submitted by YARR-dbAccessor (hostname: beakanimal.dhcp.lbl.gov, user: chultquist)
HEAD^4 655d...e22307 2 years ago Submitted by YARR-dbAccessor (hostname: beakanimal.dhcp.lbl.gov, user: chultquist)
HEAD^5 655d...f0f016 2 years ago Submitted by YARR-dbAccessor (hostname: beakanimal.dhcp.lbl.gov, user: chultquist)
HEAD^6 655d...6c09b6 2 years ago Submitted by YARR-dbAccessor (hostname: beakanimal.dhcp.lbl.gov, user: chultquist)
HEAD^7 655d...14b185 2 years ago Submitted by YARR-dbAccessor (hostname: beakanimal.dhcp.lbl.gov, user: chultquist)
HEAD^8 655d...af1870 2 years ago Submitted by YARR-dbAccessor (hostname: beakanimal.dhcp.lbl.gov, user: chultquist)
HEAD^9 655d...39087b 2 years ago Submitted by YARR-dbAccessor (hostname: beakanimal.dhcp.lbl.gov, user: chultquist)
HEAD^10 655d...4fd76d 2 years ago Submitted by YARR-dbAccessor (hostname: beakanimal.dhcp.lbl.gov, user: chultquist)
HEAD^11 655d...aefa28 2 years ago Submitted by YARR-dbAccessor (hostname: beakanimal.dhcp.lbl.gov, user: chultquist)
HEAD^12 655d...c5a23b 2 years ago Submitted by YARR-dbAccessor (hostname: beakanimal.dhcp.lbl.gov, user: chultquist)
HEAD^13 655d...14f5c6 2 years ago Submitted by YARR-dbAccessor (hostname: beakanimal.dhcp.lbl.gov, user: chultquist)
HEAD^14 655d...4e9c72 2 years ago Submitted by YARR-dbAccessor (hostname: beakanimal.dhcp.lbl.gov, user: chultquist)
HEAD^15 655d...927cff 2 years ago Submitted by YARR-dbAccessor (hostname: beakanimal.dhcp.lbl.gov, user: chultquist)
HEAD^16 655d...5e47b0 2 years ago Submitted by YARR-dbAccessor (hostname: beakanimal.dhcp.lbl.gov, user: chultquist)
HEAD^17 655d...6bb82e 2 years ago Submitted by YARR-dbAccessor (hostname: beakanimal.dhcp.lbl.gov, user: chultquist)
HEAD^18 655d...4017ba 2 years ago copied from serialNumber 20UPGFC0087194, stage MODULE/INITIAL_WARM, branch cold, revision 654288663faab532f97d134d, and the config_data was uploaded to ITkPD
Mode: LP
Index Revision ID Timestamp Message
HEAD 655d...4017bc 2 years ago copied from serialNumber 20UPGFC0087194, stage MODULE/INITIAL_WARM, branch LP, revision 6556ee43d78c45303f33d34c, and the config_data was uploaded to ITkPD

Stage: MODULE/INITIAL_WARM

Mode: warm
Index Revision ID Timestamp Message
HEAD 6718...7b0930 a year ago config revision by ADC-CALIBRATION with RAW data 66f44fceccf5a40aa8627264 and analysis result 67180f9e2f6ccc2b1c7b0928
HEAD^1 66f4...b1ffb7 a year ago Submitted by YARR-dbAccessor (hostname: spikepig.dhcp.lbl.gov, user: dfellers)
HEAD^2 66f4...185f63 a year ago Submitted by YARR-dbAccessor (hostname: spikepig.dhcp.lbl.gov, user: dfellers)
HEAD^3 66f4...dad84c a year ago Submitted by YARR-dbAccessor (hostname: spikepig.dhcp.lbl.gov, user: dfellers)
HEAD^4 66f4...ebeb67 a year ago Submitted by YARR-dbAccessor (hostname: spikepig.dhcp.lbl.gov, user: dfellers)
HEAD^5 66f4...f72515 a year ago Submitted by YARR-dbAccessor (hostname: spikepig.dhcp.lbl.gov, user: dfellers)
HEAD^6 66f4...4cc271 a year ago Submitted by YARR-dbAccessor (hostname: spikepig.dhcp.lbl.gov, user: dfellers)
HEAD^7 66f4...f19d2e a year ago Submitted by YARR-dbAccessor (hostname: spikepig.dhcp.lbl.gov, user: dfellers)
HEAD^8 66f4...481718 a year ago Submitted by YARR-dbAccessor (hostname: spikepig.dhcp.lbl.gov, user: dfellers)
HEAD^9 66f4...16e6bd a year ago Submitted by YARR-dbAccessor (hostname: spikepig.dhcp.lbl.gov, user: dfellers)
HEAD^10 66f4...59493f a year ago Submitted by YARR-dbAccessor (hostname: spikepig.dhcp.lbl.gov, user: dfellers)
HEAD^11 66f4...916f70 a year ago Submitted by YARR-dbAccessor (hostname: spikepig.dhcp.lbl.gov, user: dfellers)
HEAD^12 66f4...e9c1c1 a year ago Submitted by YARR-dbAccessor (hostname: spikepig.dhcp.lbl.gov, user: dfellers)
HEAD^13 66f4...d88c65 a year ago Submitted by YARR-dbAccessor (hostname: spikepig.dhcp.lbl.gov, user: dfellers)
HEAD^14 66f4...62737f a year ago config revision by INJECTION-CAPACITANCE with RAW data 66f45a7bccf5a40aa8627371 and analysis result 66f45a80ccf5a40aa862737e
HEAD^15 66f4...62733d a year ago config revision by VCAL-CALIBRATION with RAW data 66f459faccf5a40aa862732d and analysis result 66f459ffccf5a40aa862733c
HEAD^16 66f4...62726c a year ago config revision by ADC-CALIBRATION with RAW data 66f44fceccf5a40aa8627264 and analysis result 66f44fd3ccf5a40aa862726b
HEAD^17 66cf...422fa6 a year ago Submitted by YARR-dbAccessor (hostname: inkfish.dhcp.lbl.gov, user: eathompson)
HEAD^18 66cf...769cb8 a year ago Submitted by YARR-dbAccessor (hostname: inkfish.dhcp.lbl.gov, user: eathompson)
HEAD^19 6696...749835 a year ago Submitted by YARR-dbAccessor (hostname: inkfish.dhcp.lbl.gov, user: eathompson)
HEAD^20 6696...9c6f6b a year ago Submitted by YARR-dbAccessor (hostname: inkfish.dhcp.lbl.gov, user: eathompson)
HEAD^21 6696...333735 a year ago Submitted by YARR-dbAccessor (hostname: inkfish.dhcp.lbl.gov, user: eathompson)
HEAD^22 6696...67bb0d a year ago Submitted by YARR-dbAccessor (hostname: inkfish.dhcp.lbl.gov, user: eathompson)
HEAD^23 6696...24db49 a year ago Submitted by YARR-dbAccessor (hostname: inkfish.dhcp.lbl.gov, user: eathompson)
HEAD^24 6696...9df691 a year ago Submitted by YARR-dbAccessor (hostname: inkfish.dhcp.lbl.gov, user: eathompson)
HEAD^25 6696...6bef99 a year ago Submitted by YARR-dbAccessor (hostname: inkfish.dhcp.lbl.gov, user: eathompson)
HEAD^26 6696...332d24 a year ago Submitted by YARR-dbAccessor (hostname: inkfish.dhcp.lbl.gov, user: eathompson)
HEAD^27 6696...e63742 a year ago Submitted by YARR-dbAccessor (hostname: inkfish.dhcp.lbl.gov, user: eathompson)
HEAD^28 6696...a41c20 a year ago Submitted by YARR-dbAccessor (hostname: inkfish.dhcp.lbl.gov, user: eathompson)
HEAD^29 6696...321226 a year ago Submitted by YARR-dbAccessor (hostname: inkfish.dhcp.lbl.gov, user: eathompson)
HEAD^30 6696...a2e83f a year ago Submitted by YARR-dbAccessor (hostname: inkfish.dhcp.lbl.gov, user: eathompson)
HEAD^31 6696...a59ac9 a year ago Submitted by YARR-dbAccessor (hostname: inkfish.dhcp.lbl.gov, user: eathompson)
HEAD^32 6696...ab8468 a year ago Submitted by YARR-dbAccessor (hostname: inkfish.dhcp.lbl.gov, user: eathompson)
HEAD^33 6695...9d9cf9 a year ago config revision by DATA-TRANSMISSION with RAW data 6695c6d81f90154eec9d9cef and analysis result 6695c6da1f90154eec9d9cf8
HEAD^34 6695...9d9cd3 a year ago config revision by UNDERSHUNT-PROTECTION with RAW data 6695c6bb1f90154eec9d9ccb and analysis result 6695c6be1f90154eec9d9cd2
HEAD^35 6695...9d9caf a year ago config revision by OVERVOLTAGE-PROTECTION with RAW data 6695c55d1f90154eec9d9ca7 and analysis result 6695c55f1f90154eec9d9cae
HEAD^36 6695...9d9c4e a year ago config revision by INJECTION-CAPACITANCE with RAW data 6695bf081f90154eec9d9c40 and analysis result 6695bf0b1f90154eec9d9c4d
HEAD^37 6695...9d9c0c a year ago config revision by VCAL-CALIBRATION with RAW data 6695be7a1f90154eec9d9bfc and analysis result 6695be7e1f90154eec9d9c0b
HEAD^38 6695...9d9bcd a year ago config revision by SLDO with RAW data 6695bc881f90154eec9d9bbf and analysis result 6695bc8c1f90154eec9d9bcc
HEAD^39 6695...9d9b61 a year ago config revision by ANALOG-READBACK with RAW data 6695b9ac1f90154eec9d9b46 and analysis result 6695b9b21f90154eec9d9b60
HEAD^40 6695...9d9b29 a year ago config revision by ADC-CALIBRATION with RAW data 6695b27d1f90154eec9d9b21 and analysis result 6695b2811f90154eec9d9b28
HEAD^41 6695...e397c1 a year ago config revision by SLDO with RAW data 66903bad986c92f58805d344 and analysis result 66955add04560d1a00e397c0
HEAD^42 6690...05d353 a year ago config revision by SLDO with RAW data 66903bad986c92f58805d344 and analysis result 66903bb2986c92f58805d352
HEAD^43 6690...05d320 a year ago config revision by DATA-TRANSMISSION with RAW data 6690383b986c92f58805d316 and analysis result 6690383e986c92f58805d31f
HEAD^44 6690...05d2fa a year ago config revision by UNDERSHUNT-PROTECTION with RAW data 6690381e986c92f58805d2f2 and analysis result 66903821986c92f58805d2f9
HEAD^45 6690...05d2d6 a year ago config revision by OVERVOLTAGE-PROTECTION with RAW data 669036c5986c92f58805d2ce and analysis result 669036c7986c92f58805d2d5
HEAD^46 6690...05d27a a year ago config revision by INJECTION-CAPACITANCE with RAW data 669030d2986c92f58805d26c and analysis result 669030d5986c92f58805d279
HEAD^47 6690...05d238 a year ago config revision by VCAL-CALIBRATION with RAW data 66902fcb986c92f58805d228 and analysis result 66902fcf986c92f58805d237
HEAD^48 6690...05d1fa a year ago config revision by SLDO with RAW data 66902dda986c92f58805d1ec and analysis result 66902dde986c92f58805d1f9
HEAD^49 6690...05d177 a year ago config revision by ANALOG-READBACK with RAW data 669028cb986c92f58805d152 and analysis result 669028d6986c92f58805d176
HEAD^50 6690...05d123 a year ago config revision by ADC-CALIBRATION with RAW data 66902138986c92f58805d119 and analysis result 6690213b986c92f58805d122
HEAD^51 6690...4df932 a year ago initial generation from module-qc-database-tools
HEAD^52 655b...1014b3 2 years ago Submitted by YARR-dbAccessor (hostname: beakanimal.dhcp.lbl.gov, user: chultquist)
HEAD^53 655b...70a1cd 2 years ago Submitted by YARR-dbAccessor (hostname: beakanimal.dhcp.lbl.gov, user: chultquist)
HEAD^54 655b...a594d0 2 years ago Submitted by YARR-dbAccessor (hostname: beakanimal.dhcp.lbl.gov, user: chultquist)
HEAD^55 655b...1ed3b7 2 years ago Submitted by YARR-dbAccessor (hostname: beakanimal.dhcp.lbl.gov, user: chultquist)
HEAD^56 655b...0f97f1 2 years ago Submitted by YARR-dbAccessor (hostname: beakanimal.dhcp.lbl.gov, user: chultquist)
HEAD^57 655b...5ef652 2 years ago Submitted by YARR-dbAccessor (hostname: beakanimal.dhcp.lbl.gov, user: chultquist)
HEAD^58 655b...cb5e7a 2 years ago Submitted by YARR-dbAccessor (hostname: beakanimal.dhcp.lbl.gov, user: chultquist)
HEAD^59 655b...cd5b11 2 years ago Submitted by YARR-dbAccessor (hostname: beakanimal.dhcp.lbl.gov, user: chultquist)
HEAD^60 655b...a5697f 2 years ago Submitted by YARR-dbAccessor (hostname: beakanimal.dhcp.lbl.gov, user: chultquist)
HEAD^61 655b...cea0f1 2 years ago Submitted by YARR-dbAccessor (hostname: beakanimal.dhcp.lbl.gov, user: chultquist)
HEAD^62 655b...2de67c 2 years ago Submitted by YARR-dbAccessor (hostname: beakanimal.dhcp.lbl.gov, user: chultquist)
HEAD^63 655b...adf67f 2 years ago Submitted by YARR-dbAccessor (hostname: beakanimal.dhcp.lbl.gov, user: chultquist)
HEAD^64 655b...2ff8ff 2 years ago Submitted by YARR-dbAccessor (hostname: beakanimal.dhcp.lbl.gov, user: chultquist)
HEAD^65 655b...6c00e4 2 years ago Submitted by YARR-dbAccessor (hostname: beakanimal.dhcp.lbl.gov, user: chultquist)
HEAD^66 655b...a7dc00 2 years ago Submitted by YARR-dbAccessor (hostname: beakanimal.dhcp.lbl.gov, user: chultquist)
HEAD^67 655b...927616 2 years ago Submitted by YARR-dbAccessor (hostname: beakanimal.dhcp.lbl.gov, user: chultquist)
HEAD^68 655b...4c89f4 2 years ago Submitted by YARR-dbAccessor (hostname: beakanimal.dhcp.lbl.gov, user: chultquist)
HEAD^69 655b...c04282 2 years ago config revision by DATA-TRANSMISSION with RAW data 655bcc7e1a2f4d2887c04278 and analysis result 655bcc811a2f4d2887c04281
HEAD^70 655b...c04256 2 years ago config revision by DATA-TRANSMISSION with RAW data 655bc9e11a2f4d2887c0424c and analysis result 655bc9e31a2f4d2887c04255
HEAD^71 655b...c0422a 2 years ago config revision by DATA-TRANSMISSION with RAW data 655bc9191a2f4d2887c04220 and analysis result 655bc91d1a2f4d2887c04229
HEAD^72 6558...3c7691 2 years ago config revision by DATA-TRANSMISSION with RAW data 6558015e0ae0e809593c7687 and analysis result 655801610ae0e809593c7690
HEAD^73 6557...e37d03 2 years ago config revision by UNDERSHUNT-PROTECTION with RAW data 6557f629fb65846eeae37cfb and analysis result 6557f62cfb65846eeae37d02
HEAD^74 6557...33d397 2 years ago config revision by ADC-CALIBRATION with RAW data 6557aec1d78c45303f33d38d and analysis result 6557aec4d78c45303f33d396
HEAD^75 6556...33d370 2 years ago config revision by OVERVOLTAGE-PROTECTION with RAW data 6556ee71d78c45303f33d368 and analysis result 6556ee74d78c45303f33d36f
HEAD^76 6556...5a1854 2 years ago config revision by INJECTION-CAPACITANCE with RAW data 6556b6b6cacf9a16295a1846 and analysis result 6556b6b9cacf9a16295a1853
HEAD^77 6556...5a1823 2 years ago config revision by VCAL-CALIBRATION with RAW data 6556b66bcacf9a16295a1813 and analysis result 6556b66ecacf9a16295a1822
HEAD^78 6556...5a17f4 2 years ago config revision by SLDO with RAW data 6556b61acacf9a16295a17e6 and analysis result 6556b61ecacf9a16295a17f3
HEAD^79 6556...5a1799 2 years ago config revision by ANALOG-READBACK with RAW data 6556b413cacf9a16295a1774 and analysis result 6556b41dcacf9a16295a1798
HEAD^80 6556...5a175d 2 years ago config revision by ADC-CALIBRATION with RAW data 6556afaecacf9a16295a1753 and analysis result 6556afb1cacf9a16295a175c
HEAD^81 6556...5a1731 2 years ago config revision by ADC-CALIBRATION with RAW data 6556a19fcacf9a16295a1727 and analysis result 6556a1a2cacf9a16295a1730
HEAD^82 6542...7d1345 2 years ago initial generation from module-qc-database-tools
Mode: cold
Index Revision ID Timestamp Message
HEAD 6690...4df937 a year ago initial generation from module-qc-database-tools
HEAD^1 6542...7d134d 2 years ago initial generation from module-qc-database-tools
Mode: LP
Index Revision ID Timestamp Message
HEAD 66f6...197385 a year ago config revision by LP-MODE with RAW data 66f6cd2426024409f019737d and analysis result 66f6cd2826024409f0197384
HEAD^1 66f4...6273b5 a year ago config revision by LP-MODE with RAW data 66f45b82ccf5a40aa86273ad and analysis result 66f45b85ccf5a40aa86273b4
HEAD^2 6695...9d9c85 a year ago config revision by LP-MODE with RAW data 6695c02f1f90154eec9d9c7d and analysis result 6695c0311f90154eec9d9c84
HEAD^3 6690...05d2b2 a year ago config revision by LP-MODE with RAW data 669031f9986c92f58805d2aa and analysis result 669031fc986c92f58805d2b1
HEAD^4 6690...4df93c a year ago initial generation from module-qc-database-tools
HEAD^5 6556...33d34c 2 years ago config revision by LP-MODE with RAW data 6556ee40d78c45303f33d344 and analysis result 6556ee43d78c45303f33d34b
HEAD^6 6542...7d1355 2 years ago initial generation from module-qc-database-tools
Stage Tests
TESTONWAFER
  • Electrical FE chip tests   (FECHIP_TEST)
HYBRIDISATION
UNUSABLE
BAREMODULEASSEMBLY
BAREMODULERECEPTION
  • Minimal Health Test  (MIN_HEALTH_TEST)
  • Analog Readback  (ANALOG_READBACK)
MODULE/INIT
MODULE/ASSEMBLY
MODULE/WIREBONDING
  • ADC Calibration  (ADC_CALIBRATION)
  • Data Transmission  (DATA_TRANSMISSION)
  • VCAL Calibration  (VCAL_CALIBRATION)
  • Minimal Health Test  (MIN_HEALTH_TEST)
  • Tuning  (TUNING)
  • Pixel Failure Analysis  (PIXEL_FAILURE_ANALYSIS)
  • SLDO  (SLDO)
  • Low Power Mode  (LP_MODE)
  • Analog Readback  (ANALOG_READBACK)
  • Injection Capacitance  (INJECTION_CAPACITANCE)
MODULE/INITIAL_WARM
  • ADC Calibration  (ADC_CALIBRATION)
  • Analog Readback  (ANALOG_READBACK)
  • SLDO  (SLDO)
  • VCAL Calibration  (VCAL_CALIBRATION)
  • Low Power Mode  (LP_MODE)
  • Overvoltage Protection  (OVERVOLTAGE_PROTECTION)
  • Undershunt Protection  (UNDERSHUNT_PROTECTION)
  • Data Transmission  (DATA_TRANSMISSION)
  • Injection Capacitance  (INJECTION_CAPACITANCE)
  • Minimal Health Test  (MIN_HEALTH_TEST)
  • Tuning  (TUNING)
  • Pixel Failure Analysis  (PIXEL_FAILURE_ANALYSIS)
MODULE/QC_CROSSCHECK
  • ADC Calibration  (ADC_CALIBRATION)
  • Analog Readback  (ANALOG_READBACK)
  • SLDO  (SLDO)
  • VCAL Calibration  (VCAL_CALIBRATION)
  • Low Power Mode  (LP_MODE)
  • Overvoltage Protection  (OVERVOLTAGE_PROTECTION)
  • Undershunt Protection  (UNDERSHUNT_PROTECTION)
  • Data Transmission  (DATA_TRANSMISSION)
  • Injection Capacitance  (INJECTION_CAPACITANCE)
  • Minimal Health Test  (MIN_HEALTH_TEST)
  • Tuning  (TUNING)
  • Pixel Failure Analysis  (PIXEL_FAILURE_ANALYSIS)
MODULE/INITIAL_COLD
  • ADC Calibration  (ADC_CALIBRATION)
  • Analog Readback  (ANALOG_READBACK)
  • SLDO  (SLDO)
  • VCAL Calibration  (VCAL_CALIBRATION)
  • Injection Capacitance  (INJECTION_CAPACITANCE)
  • Tuning  (TUNING)
  • Minimal Health Test  (MIN_HEALTH_TEST)
  • Pixel Failure Analysis  (PIXEL_FAILURE_ANALYSIS)
  • Low Power Mode  (LP_MODE)
  • Overvoltage Protection  (OVERVOLTAGE_PROTECTION)
  • Undershunt Protection  (UNDERSHUNT_PROTECTION)
  • Data Transmission  (DATA_TRANSMISSION)
MODULE/PARYLENE_MASKING
  • ADC Calibration  (ADC_CALIBRATION)
  • VCAL Calibration  (VCAL_CALIBRATION)
  • SLDO  (SLDO)
  • Low Power Mode  (LP_MODE)
  • Minimal Health Test  (MIN_HEALTH_TEST)
  • Tuning  (TUNING)
  • Pixel Failure Analysis  (PIXEL_FAILURE_ANALYSIS)
  • Analog Readback  (ANALOG_READBACK)
  • Injection Capacitance  (INJECTION_CAPACITANCE)
  • Data Transmission  (DATA_TRANSMISSION)
MODULE/PARYLENE_COATING
MODULE/PARYLENE_UNMASKING
  • Minimal Health Test  (MIN_HEALTH_TEST)
  • Pixel Failure Analysis  (PIXEL_FAILURE_ANALYSIS)
  • Tuning  (TUNING)
  • Data Transmission  (DATA_TRANSMISSION)
  • ADC Calibration  (ADC_CALIBRATION)
  • VCAL Calibration  (VCAL_CALIBRATION)
  • SLDO  (SLDO)
  • Analog Readback  (ANALOG_READBACK)
  • Injection Capacitance  (INJECTION_CAPACITANCE)
  • Low Power Mode  (LP_MODE)
MODULE/WIREBOND_PROTECTION
  • Minimal Health Test  (MIN_HEALTH_TEST)
  • Pixel Failure Analysis  (PIXEL_FAILURE_ANALYSIS)
  • Tuning  (TUNING)
  • ADC Calibration  (ADC_CALIBRATION)
  • Low Power Mode  (LP_MODE)
  • VCAL Calibration  (VCAL_CALIBRATION)
  • Analog Readback  (ANALOG_READBACK)
  • Injection Capacitance  (INJECTION_CAPACITANCE)
  • SLDO  (SLDO)
  • Data Transmission  (DATA_TRANSMISSION)
MODULE/POST_PARYLENE_WARM
  • ADC Calibration  (ADC_CALIBRATION)
  • Analog Readback  (ANALOG_READBACK)
  • Overvoltage Protection  (OVERVOLTAGE_PROTECTION)
  • Undershunt Protection  (UNDERSHUNT_PROTECTION)
  • SLDO  (SLDO)
  • VCAL Calibration  (VCAL_CALIBRATION)
  • Data Transmission  (DATA_TRANSMISSION)
  • Injection Capacitance  (INJECTION_CAPACITANCE)
  • Minimal Health Test  (MIN_HEALTH_TEST)
  • Tuning  (TUNING)
  • Pixel Failure Analysis  (PIXEL_FAILURE_ANALYSIS)
  • Low Power Mode  (LP_MODE)
MODULE/POST_PARYLENE_COLD
  • ADC Calibration  (ADC_CALIBRATION)
  • Analog Readback  (ANALOG_READBACK)
  • VCAL Calibration  (VCAL_CALIBRATION)
  • Low Power Mode  (LP_MODE)
  • Data Transmission  (DATA_TRANSMISSION)
  • Overvoltage Protection  (OVERVOLTAGE_PROTECTION)
  • Undershunt Protection  (UNDERSHUNT_PROTECTION)
  • SLDO  (SLDO)
  • Minimal Health Test  (MIN_HEALTH_TEST)
  • Tuning  (TUNING)
  • Pixel Failure Analysis  (PIXEL_FAILURE_ANALYSIS)
  • Injection Capacitance  (INJECTION_CAPACITANCE)
MODULE/THERMAL_CYCLES
  • Minimal Health Test  (MIN_HEALTH_TEST)
  • Pixel Failure Analysis  (PIXEL_FAILURE_ANALYSIS)
  • Tuning  (TUNING)
  • Data Transmission  (DATA_TRANSMISSION)
  • SLDO  (SLDO)
  • ADC Calibration  (ADC_CALIBRATION)
  • VCAL Calibration  (VCAL_CALIBRATION)
  • Analog Readback  (ANALOG_READBACK)
  • Injection Capacitance  (INJECTION_CAPACITANCE)
  • Low Power Mode  (LP_MODE)
  • Cold startup  (COLD_STARTUP)
MODULE/LONG_TERM_STABILITY_TEST
  • Minimal Health Test  (MIN_HEALTH_TEST)
  • Pixel Failure Analysis  (PIXEL_FAILURE_ANALYSIS)
  • Low Power Mode  (LP_MODE)
  • Data Transmission  (DATA_TRANSMISSION)
  • SLDO  (SLDO)
  • Tuning  (TUNING)
  • ADC Calibration  (ADC_CALIBRATION)
  • VCAL Calibration  (VCAL_CALIBRATION)
  • Analog Readback  (ANALOG_READBACK)
  • Injection Capacitance  (INJECTION_CAPACITANCE)
MODULE/FINAL_WARM
  • ADC Calibration  (ADC_CALIBRATION)
  • Analog Readback  (ANALOG_READBACK)
  • SLDO  (SLDO)
  • VCAL Calibration  (VCAL_CALIBRATION)
  • Undershunt Protection  (UNDERSHUNT_PROTECTION)
  • Overvoltage Protection  (OVERVOLTAGE_PROTECTION)
  • Data Transmission  (DATA_TRANSMISSION)
  • Minimal Health Test  (MIN_HEALTH_TEST)
  • Pixel Failure Analysis  (PIXEL_FAILURE_ANALYSIS)
  • Tuning  (TUNING)
  • Low Power Mode  (LP_MODE)
  • Injection Capacitance  (INJECTION_CAPACITANCE)
MODULE/FINAL_COLD
  • ADC Calibration  (ADC_CALIBRATION)
  • Analog Readback  (ANALOG_READBACK)
  • SLDO  (SLDO)
  • VCAL Calibration  (VCAL_CALIBRATION)
  • Injection Capacitance  (INJECTION_CAPACITANCE)
  • Low Power Mode  (LP_MODE)
  • Overvoltage Protection  (OVERVOLTAGE_PROTECTION)
  • Undershunt Protection  (UNDERSHUNT_PROTECTION)
  • Tuning  (TUNING)
  • Minimal Health Test  (MIN_HEALTH_TEST)
  • Pixel Failure Analysis  (PIXEL_FAILURE_ANALYSIS)
  • Data Transmission  (DATA_TRANSMISSION)
  • Cold startup  (COLD_STARTUP)
MODULE/FINAL_METROLOGY
  • Data Transmission  (DATA_TRANSMISSION)
  • ADC Calibration  (ADC_CALIBRATION)
  • VCAL Calibration  (VCAL_CALIBRATION)
  • SLDO  (SLDO)
  • Injection Capacitance  (INJECTION_CAPACITANCE)
  • Minimal Health Test  (MIN_HEALTH_TEST)
  • Tuning  (TUNING)
  • Pixel Failure Analysis  (PIXEL_FAILURE_ANALYSIS)
  • Injection Capacitance  (INJECTION_CAPACITANCE)
  • Analog Readback  (ANALOG_READBACK)
MODULE/QC_STATUS
MODULE/UNHAPPY
  • ADC Calibration  (ADC_CALIBRATION)
  • Analog Readback  (ANALOG_READBACK)
  • VCAL Calibration  (VCAL_CALIBRATION)
  • Minimal Health Test  (MIN_HEALTH_TEST)
  • Tuning  (TUNING)
  • Pixel Failure Analysis  (PIXEL_FAILURE_ANALYSIS)
  • Low Power Mode  (LP_MODE)
  • Injection Capacitance  (INJECTION_CAPACITANCE)
  • SLDO  (SLDO)
  • Data Transmission  (DATA_TRANSMISSION)
MODULE/NOTCONSIDEREDINYIELDS
  • ADC Calibration  (ADC_CALIBRATION)
  • VCAL Calibration  (VCAL_CALIBRATION)
  • SLDO  (SLDO)
  • Undershunt Protection  (UNDERSHUNT_PROTECTION)
  • Pixel Failure Analysis  (PIXEL_FAILURE_ANALYSIS)
  • Minimal Health Test  (MIN_HEALTH_TEST)
  • Tuning  (TUNING)
  • Analog Readback  (ANALOG_READBACK)
  • Overvoltage Protection  (OVERVOLTAGE_PROTECTION)
  • Low Power Mode  (LP_MODE)
  • Injection Capacitance  (INJECTION_CAPACITANCE)
  • Data Transmission  (DATA_TRANSMISSION)
MODULE/GRAVEYARD
MODULE/COMPLETE
MODULE/RECEPTION
  • Minimal Health Test  (MIN_HEALTH_TEST)
  • Pixel Failure Analysis  (PIXEL_FAILURE_ANALYSIS)
  • ADC Calibration  (ADC_CALIBRATION)
  • Analog Readback  (ANALOG_READBACK)
  • SLDO  (SLDO)
  • Data Transmission  (DATA_TRANSMISSION)
  • Tuning  (TUNING)
MODULE/TAB_CUTTING
  • Minimal Health Test  (MIN_HEALTH_TEST)
LLS/PRE_TC_WARM
  • Minimal Health Test  (MIN_HEALTH_TEST)
  • Analog Readback  (ANALOG_READBACK)
  • SLDO  (SLDO)
  • Low Power Mode  (LP_MODE)
  • Tuning  (TUNING)
  • Pixel Failure Analysis  (PIXEL_FAILURE_ANALYSIS)
LLS/PRE_TC_COLD
  • Minimal Health Test  (MIN_HEALTH_TEST)
  • Analog Readback  (ANALOG_READBACK)
  • SLDO  (SLDO)
  • Tuning  (TUNING)
  • Pixel Failure Analysis  (PIXEL_FAILURE_ANALYSIS)
LLS/POST_TC_WARM
  • Minimal Health Test  (MIN_HEALTH_TEST)
  • Analog Readback  (ANALOG_READBACK)
  • SLDO  (SLDO)
  • Tuning  (TUNING)
  • Pixel Failure Analysis  (PIXEL_FAILURE_ANALYSIS)
LLS/POST_TC_COLD
  • Minimal Health Test  (MIN_HEALTH_TEST)
  • Analog Readback  (ANALOG_READBACK)
  • SLDO  (SLDO)
  • Tuning  (TUNING)
  • Pixel Failure Analysis  (PIXEL_FAILURE_ANALYSIS)
LLS/RECEPTION
  • Minimal Health Test  (MIN_HEALTH_TEST)
  • Analog Readback  (ANALOG_READBACK)
  • SLDO  (SLDO)
  • Tuning  (TUNING)
  • Pixel Failure Analysis  (PIXEL_FAILURE_ANALYSIS)
OB_LOADED_MODULE_CELL/INIT
OB_LOADED_MODULE_CELL/ASSEMBLY
OB_LOADED_MODULE_CELL/WIREBOND_PROTECTION
OB_LOADED_MODULE_CELL/THERMAL_CYCLES
OB_LOADED_MODULE_CELL/FINAL_WARM
  • ADC Calibration  (ADC_CALIBRATION)
  • Analog Readback  (ANALOG_READBACK)
  • SLDO  (SLDO)
  • VCAL Calibration  (VCAL_CALIBRATION)
  • Injection Capacitance  (INJECTION_CAPACITANCE)
  • Low Power Mode  (LP_MODE)
  • Data Transmission  (DATA_TRANSMISSION)
  • Minimal Health Test  (MIN_HEALTH_TEST)
  • Tuning  (TUNING)
  • Pixel Failure Analysis  (PIXEL_FAILURE_ANALYSIS)
OB_LOADED_MODULE_CELL/FINAL_COLD
  • ADC Calibration  (ADC_CALIBRATION)
  • Analog Readback  (ANALOG_READBACK)
  • SLDO  (SLDO)
  • VCAL Calibration  (VCAL_CALIBRATION)
  • Injection Capacitance  (INJECTION_CAPACITANCE)
  • Low Power Mode  (LP_MODE)
  • Data Transmission  (DATA_TRANSMISSION)
  • Minimal Health Test  (MIN_HEALTH_TEST)
  • Tuning  (TUNING)
  • Pixel Failure Analysis  (PIXEL_FAILURE_ANALYSIS)
OB_LOADED_MODULE_CELL/THERMAL_COLD
OB_LOADED_MODULE_CELL/THERMAL_WARM
OB_LOADED_MODULE_CELL/ENVELOPE_CHECK
OB_LOADED_MODULE_CELL/QC_STATUS
OB_LOADED_MODULE_CELL/UNHAPPY
OB_LOADED_MODULE_CELL/COMPLETE
OB_LOADED_MODULE_CELL/RECEPTION
  • Minimal Health Test  (MIN_HEALTH_TEST)
  • Pixel Failure Analysis  (PIXEL_FAILURE_ANALYSIS)
  • SLDO  (SLDO)
OB_LOADED_MODULE_CELL/TAB_CUTTING
  • Minimal Health Test  (MIN_HEALTH_TEST)
OB_LOADED_MODULE_CELL/PIGTAIL_INSERTION
TEST_AFTER_LOADED_LOCAL_SUPPORT_ASSEMBLY
  • OB:Loaded local support QC electrical connectivity  (OBLoadedLocalSupportQC_ElectricalConnectivity)
  • OB:Loaded local support QC electrical performance  (OBLoadedLocalSupportQC_ElectricalPerformance)
  • OB:Loaded local support reception at the integration site  (OBLoadedLocalSupport_IntegrationSite)
  • OB:Loaded local support QC electrical low power  (OBLoadedLocalSupport_QCElectricalLowPower)
TEST_JM_OEC_FE
Back to top page of this component