20UPGFC0082566

MODULE/POST_PARYLENE_WARM

Component Information

Serial Number 20UPGFC0082566
ProdDB ID  658ff2…7e2409
LocalDB ID 6263b9a8508a27000a97db25
Component Type fe_chip
Parents 20UPGM2260104720UPGB42307013
Children No match.
Flags

 Properties

Item Value
Wafer serial number None

 Comments


Test: ADC_CALIBRATION QC Passed

(Stage: MODULE/INITIAL_WARM)


Basic View Only: custom view for this TestRun is not prepared.

Metadata

Key Data
QC Passed True
Date 2 years ago
component ObjectId 6263b9a8508a27000a97db25
Stage MODULE/INITIAL_WARM
Test Type ADC_CALIBRATION
Institute ObjectId
User Name None
ObjectId of this record 65e6184aff02867cbecc9061
ObjectId of RAW record 65e61847ff02867cbecc9058
Tags No tags

Results

Key Data
ANALYSIS_VERSION mqat v2.2.3rc1
MEASUREMENT_VERSION 2.2.2.dev42
QC_LAYER L2
INSTITUTION LBNL_PIXEL_MODULES
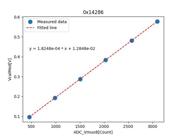
ADC_CALIBRATION_SLOPE 0.182
ADC_CALIBRATION_OFFSET 13.0
ADC_CALIBRATION_LINEARITY 0.24

Attachments

Filename Contents
output.log Download
0x14286.png
0x14286.log Download
0x14286_summary.png

RAW Results Record

Download RAW
_id65e61847ff02867cbecc9058
raw
serialNumbertestTypesubtestTyperesultsstagecomponentdbVersionaddresssys
20UPGFC0082566ADC_CALIBRATION
property
ADC_CALIBRATION_MEASUREMENT_VERSION2.2.2.dev42
comment
Measurements
DACs_input
XTrue
UnitCount
Values
  • 500.0
  • 1000.0
  • 1500.0
  • 2000.0
  • 2500.0
  • 3000.0
Vmux8
XFalse
UnitV
Values
  • 0.114563
  • 0.211092
  • 0.306837
  • 0.403467
  • 0.500507
  • 0.597805
Vmux30
XFalse
UnitV
Values
  • 0.0191259
  • 0.0191116
  • 0.019108
  • 0.0191041
  • 0.0191072
  • 0.0190985
ADC_Vmux8
XFalse
UnitCount
Values
  • 453
  • 982
  • 1507
  • 2033
  • 2568
  • 3102
ADC_Vmux30
XFalse
UnitCount
Values
  • 0.0
  • 0.0
  • 0.0
  • 0.0
  • 0.0
  • 0.0
Metadata
ChipID13
Name0x14286
InstitutionLBNL_PIXEL_MODULES
ModuleSN20UPGM22601047
TimeStart1709578231
FirmwareVersion
FirmwareIdentifier
ChannelConfig
SoftwareVersion
ChipConfigs
RD53B
GlobalConfig
AiRegionRow0
AuroraActiveLanes1
AuroraCBSend0
AuroraCBWait04095
AuroraCBWait10
AuroraCCSend3
AuroraCCWait25
AuroraEnPrbs0
AuroraInitWait32
AutoRead0137
AutoRead1133
AutoRead2121
AutoRead3122
AutoRead4124
AutoRead5127
AutoRead6126
AutoRead7125
BcidCnt0
BitFlipErrCnt0
BitFlipWngCnt0
CapMeasEn0
CapMeasEnPar0
CdrClkSel0
CdrCp40
CdrCpBuff200
CdrCpFd400
CdrOverwriteLimit0
CdrPhaseDetSel0
CdrVco1023
CdrVcoBuff500
ChSyncLockThr31
CmdErrCnt0
CmlBias0800
CmlBias1400
CmlBias20
DataEnBcid0
DataEnBinaryRo0
DataEnEos1
DataEnHitRemoval0
DataEnIsoHitRemoval0
DataEnL1id0
DataEnRaw0
DataMaxHits0
DataMaxTot0
DataMergeEn0
DataMergeEnBond0
DataMergeEnClkGate0
DataMergeInMux00
DataMergeInMux11
DataMergeInMux22
DataMergeInMux33
DataMergeInPol0
DataMergeOutMux00
DataMergeOutMux11
DataMergeOutMux22
DataMergeOutMux33
DataMergeSelClk0
DataReadDelay0
DiffComp500
DiffFbCapEn0
DiffLcc200
DiffLccEn1
DiffPreComp350
DiffPreampL550
DiffPreampM550
DiffPreampR550
DiffPreampT550
DiffPreampTL550
DiffPreampTR550
DiffTh1L350
DiffTh1M350
DiffTh1R350
DiffTh250
DiffVff60
EfuseConfig3855
EfuseReadData00
EfuseReadData10
EfuseWriteData00
EfuseWriteData10
EnChipId0
EnCoreCol065535
EnCoreCol165535
EnCoreCol265535
EnCoreCol363
EnCoreColCal00
EnCoreColCal10
EnCoreColCal20
EnCoreColCal30
ErrWngMask0
EvenMask0
FineDelayClk0
FineDelayData0
GcrDefaultConfig44149
GcrDefaultConfigB21386
GlobalPulseConf0
GlobalPulseWidth10
GpCmosDs0
GpCmosEn1
GpCmosRoute34
GpLvdsBias7
GpLvdsEn15
GpLvdsPad00
GpLvdsPad11
GpLvdsPad233
GpLvdsPad335
GpValReg5
HitOrCnt00
HitOrCnt10
HitOrCnt20
HitOrCnt30
HitOrMask00
HitOrMask10
HitOrMask20
HitOrMask30
InjAnaMode0
InjDigEn0
InjFineDelay5
InjVcalHigh200
InjVcalMed200
InjVcalRange1
Latency500
LinComp110
LinCompTa110
LinFc20
LinGdacL408
LinGdacM408
LinGdacR408
LinKrumCurr50
LinLdac100
LinPreampL300
LinPreampM300
LinPreampR300
LinPreampT300
LinPreampTL300
LinPreampTR300
LinRefKrum300
LockLossCnt0
MonAdcTrim0
MonSensAcbDem0
MonSensAcbEn0
MonSensAcbSelBias0
MonSensSldoAnaDem0
MonSensSldoAnaEn0
MonSensSldoAnaSelBias0
MonSensSldoDigDem0
MonSensSldoDigEn0
MonSensSldoDigSelBias0
MonitorEnable1
MonitorI63
MonitorV32
MonitoringDataAdc0
NtcDac100
NumOfEventsInStream1
OddMask0
PixAutoRow1
PixBroadcast0
PixConfMode1
PixDefaultConfig40162
PixDefaultConfigB25373
PixPortal0
PixRegionCol199
PixRegionRow0
PtotCoreColEn00
PtotCoreColEn10
PtotCoreColEn20
PtotCoreColEn30
RdWrFifoErrCnt0
ReadTrigCnt0
ReadTrigLatency1000
RingOscAClear0
RingOscAEn0
RingOscAOut0
RingOscARoute0
RingOscBClear0
RingOscBEnBl0
RingOscBEnBr0
RingOscBEnCapA0
RingOscBEnFf0
RingOscBEnLvt0
RingOscBOut0
RingOscBRoute0
RstCoreCol00
RstCoreCol10
RstCoreCol20
RstCoreCol30
SelfTrigDelay512
SelfTrigDigThr1
SelfTrigDigThrEn0
SelfTrigEn0
SelfTrigMulti4
SelfTrigPattern65534
SerEnLane1
SerEnTap1
SerInvTap1
SerSelOut01
SerSelOut11
SerSelOut21
SerSelOut31
ServiceBlockEn1
ServiceBlockPeriod50
SkippedTrigCnt0
SldoEnUndershuntA0
SldoEnUndershuntD0
SldoTrimA12
SldoTrimD11
TotEn6b4b0
TotEn800
TotEnPtoa0
TotEnPtot0
TotPtotLatency500
TrigCnt0
TruncTimeoutConf0
TwoLevelTrig0
VrefIn1
VrefRsensBot0
VrefRsensTop0
Parameter
ADCcalPar
  • 13.0
  • 0.183
  • 10000.0
ChipId13
EnforceNameIdCheckTrue
InjCap7.269999980926514
IrefTrim7
KSenseInA21277.00390625
KSenseInD21959.037109375
KSenseShuntA26342.95703125
KSenseShuntD27187.37890625
KShuntA1056.3380126953125
KShuntD1037.387939453125
Name0x14286
NfACB1.2827095985412598
NfASLDO1.2844741344451904
NfDSLDO1.2853779792785645
NtcCalPar
  • 0.0007488999981433153
  • 0.0002769000129774213
  • 7.059500006789676e-08
VcalPar
  • -2.0
  • 0.1899999976158142
SoftwareType
TimeEnd1709578308
MODULE/INITIAL_WARM6263b9a8508a27000a97db251.0164657cef8d79bac1f3f005d9
mts2024-03-04 18:51:51.581000
cts2024-03-04 18:51:51.581000
rev0
rawHash9bf4cc4b824a0ddc85671f7d217d44f8
stageMODULE/INITIAL_WARM

ProductionDB Record

{}

 Current Stage: Post-Parylene Warm

Test Type Local Result
ADC Calibration
(ADC_CALIBRATION)
No TestRun!
Analog Readback
(ANALOG_READBACK)
No TestRun!
Overvoltage Protection
(OVERVOLTAGE_PROTECTION)
No TestRun!
Undershunt Protection
(UNDERSHUNT_PROTECTION)
No TestRun!
SLDO
(SLDO)
No TestRun!
VCAL Calibration
(VCAL_CALIBRATION)
No TestRun!
Data Transmission
(DATA_TRANSMISSION)
No TestRun!
Injection Capacitance
(INJECTION_CAPACITANCE)
No TestRun!
Minimal Health Test
(MIN_HEALTH_TEST)
No TestRun!
Tuning
(TUNING)
No TestRun!
Pixel Failure Analysis
(PIXEL_FAILURE_ANALYSIS)
No TestRun!
Low Power Mode
(LP_MODE)
No TestRun!

 Candidate TestRuns of this Stage

LDB ID TestRun Code QC Passed Inspector Measurement Date Analysis Date Analysis Version Tags QC Registration
66a023…6697ba LP_MODE Fail None a year ago a year ago 2.2.6 No tags Selected
66a022…66975d INJECTION_CAPACITANCE Pass None a year ago a year ago 2.2.6 No tags Selected
66a022…669621 VCAL_CALIBRATION Pass None a year ago a year ago 2.2.6 No tags Selected
66a020…d707a7 SLDO Fail None a year ago a year ago 2.2.6 No tags Selected
66a01c…d706d3 ANALOG_READBACK Fail None a year ago a year ago 2.2.6 No tags Selected
66a012…d70618 ADC_CALIBRATION Pass None a year ago a year ago 2.2.6 No tags Selected
669c8f…36da51 INJECTION_CAPACITANCE Pass None a year ago a year ago 2.2.6 No tags
669c8e…36da12 VCAL_CALIBRATION Pass None a year ago a year ago 2.2.6 No tags
669c8c…36d9cf SLDO Fail None a year ago a year ago 2.2.6 No tags
669c89…36cbc3 ANALOG_READBACK Fail None a year ago a year ago 2.2.6 No tags
669c81…36cb73 ADC_CALIBRATION Fail None a year ago a year ago 2.2.6 No tags
65e63b…cc927c DATA_TRANSMISSION Pass None 2 years ago 2 years ago 2.2.3rc1 No tags
65e63b…cc9255 UNDERSHUNT_PROTECTION Fail None 2 years ago 2 years ago 2.2.3rc1 No tags
65e63a…cc9232 OVERVOLTAGE_PROTECTION Fail None 2 years ago 2 years ago 2.2.3rc1 No tags
65e639…cc920f LP_MODE Fail None 2 years ago 2 years ago 2.2.3rc1 No tags
65e62b…cc91b7 INJECTION_CAPACITANCE Pass None 2 years ago 2 years ago 2.2.3rc1 No tags
65e62a…cc916a VCAL_CALIBRATION Pass None 2 years ago 2 years ago 2.2.3rc1 No tags
65e627…cc912b SLDO Fail None 2 years ago 2 years ago 2.2.3rc1 No tags
65e621…cc90c2 ANALOG_READBACK Fail None 2 years ago 2 years ago 2.2.3rc1 No tags
65e618…cc9061 ADC_CALIBRATION Pass None 2 years ago 2 years ago 2.2.3rc1 No tags
65e617…cc9035 ADC_CALIBRATION Pass None 2 years ago 2 years ago 2.2.3rc1 No tags

Past QC Stages and Results

Wirebond Protection (alt) (MODULE/WIREBOND_PROTECTION)

Test Local Result ProdDB Record
Minimal Health Test
(MIN_HEALTH_TEST)
No result N/A
Pixel Failure Analysis
(PIXEL_FAILURE_ANALYSIS)
No result N/A

Parylene Unmasking (MODULE/PARYLENE_UNMASKING)

Test Local Result ProdDB Record
Minimal Health Test
(MIN_HEALTH_TEST)
No result N/A
Pixel Failure Analysis
(PIXEL_FAILURE_ANALYSIS)
No result N/A

Parylene Coating (MODULE/PARYLENE_COATING)

Parylene Masking (MODULE/PARYLENE_MASKING)

Initial Cold (MODULE/INITIAL_COLD)

Test Local Result ProdDB Record
ADC Calibration
(ADC_CALIBRATION)
No result N/A
Analog Readback
(ANALOG_READBACK)
No result N/A
Data Transmission
(DATA_TRANSMISSION)
No result N/A
Injection Capacitance
(INJECTION_CAPACITANCE)
No result N/A
Low Power Mode
(LP_MODE)
No result N/A
Minimal Health Test
(MIN_HEALTH_TEST)
No result N/A
Overvoltage Protection
(OVERVOLTAGE_PROTECTION)
No result N/A
Pixel Failure Analysis
(PIXEL_FAILURE_ANALYSIS)
No result N/A
SLDO
(SLDO)
No result N/A
Tuning
(TUNING)
No result N/A
Undershunt Protection
(UNDERSHUNT_PROTECTION)
No result N/A
VCAL Calibration
(VCAL_CALIBRATION)
No result N/A

QC cross-check (module swapping) (MODULE/QC_CROSSCHECK)

Initial Warm (MODULE/INITIAL_WARM)

Test Local Result ProdDB Record
ADC Calibration
(ADC_CALIBRATION)
Registered N/A
Analog Readback
(ANALOG_READBACK)
Registered N/A
Data Transmission
(DATA_TRANSMISSION)
No result N/A
Injection Capacitance
(INJECTION_CAPACITANCE)
Registered N/A
Low Power Mode
(LP_MODE)
Registered N/A
Minimal Health Test
(MIN_HEALTH_TEST)
No result N/A
Overvoltage Protection
(OVERVOLTAGE_PROTECTION)
No result N/A
Pixel Failure Analysis
(PIXEL_FAILURE_ANALYSIS)
No result N/A
SLDO
(SLDO)
Registered N/A
Tuning
(TUNING)
No result N/A
Undershunt Protection
(UNDERSHUNT_PROTECTION)
No result N/A
VCAL Calibration
(VCAL_CALIBRATION)
Registered N/A

Wire Bonding (MODULE/WIREBONDING)

Bare module to module PCB assembly (MODULE/ASSEMBLY)

Initial state to associate flex to bare module (MODULE/INIT)

Reception at ITk institute (BAREMODULERECEPTION)

Test Local Result ProdDB Record
Analog Readback
(ANALOG_READBACK)
No result N/A
Minimal Health Test
(MIN_HEALTH_TEST)
No result N/A

Bare module assembly (BAREMODULEASSEMBLY)

Not to be used for detector (UNUSABLE)

Hybridisation (HYBRIDISATION)

Testing on wafer (TESTONWAFER)

Test Local Result ProdDB Record
Electrical FE chip tests
(FECHIP_TEST)
Registered Registered
LocalDB Test ID Stage Test Name Inspector Measurement Date Analysis Date Tags QC Registration
66a023…6697ba MODULE/INITIAL_WARM LP_MODE None a year ago a year ago No tags Selected
66a022…66975d MODULE/INITIAL_WARM INJECTION_CAPACITANCE None a year ago a year ago No tags Selected
66a022…669621 MODULE/INITIAL_WARM VCAL_CALIBRATION None a year ago a year ago No tags Selected
66a020…d707a7 MODULE/INITIAL_WARM SLDO None a year ago a year ago No tags Selected
66a01c…d706d3 MODULE/INITIAL_WARM ANALOG_READBACK None a year ago a year ago No tags Selected
66a012…d70618 MODULE/INITIAL_WARM ADC_CALIBRATION None a year ago a year ago No tags Selected
669c8f…36da51 MODULE/INITIAL_WARM INJECTION_CAPACITANCE None a year ago a year ago No tags
669c8e…36da12 MODULE/INITIAL_WARM VCAL_CALIBRATION None a year ago a year ago No tags
669c8c…36d9cf MODULE/INITIAL_WARM SLDO None a year ago a year ago No tags
669c89…36cbc3 MODULE/INITIAL_WARM ANALOG_READBACK None a year ago a year ago No tags
669c81…36cb73 MODULE/INITIAL_WARM ADC_CALIBRATION None a year ago a year ago No tags
65e63b…cc927c MODULE/INITIAL_WARM DATA_TRANSMISSION None 2 years ago 2 years ago No tags
65e63b…cc9255 MODULE/INITIAL_WARM UNDERSHUNT_PROTECTION None 2 years ago 2 years ago No tags
65e63a…cc9232 MODULE/INITIAL_WARM OVERVOLTAGE_PROTECTION None 2 years ago 2 years ago No tags
65e639…cc920f MODULE/INITIAL_WARM LP_MODE None 2 years ago 2 years ago No tags
65e62b…cc91b7 MODULE/INITIAL_WARM INJECTION_CAPACITANCE None 2 years ago 2 years ago No tags
65e62a…cc916a MODULE/INITIAL_WARM VCAL_CALIBRATION None 2 years ago 2 years ago No tags
65e627…cc912b MODULE/INITIAL_WARM SLDO None 2 years ago 2 years ago No tags
65e621…cc90c2 MODULE/INITIAL_WARM ANALOG_READBACK None 2 years ago 2 years ago No tags
65e618…cc9061 MODULE/INITIAL_WARM ADC_CALIBRATION None 2 years ago 2 years ago No tags
65e617…cc9035 MODULE/INITIAL_WARM ADC_CALIBRATION None 2 years ago 2 years ago No tags
6263bb…97f481 TESTONWAFER FECHIP_TEST MarkStandke N/A 3 years ago No tags Selected

Stage: MODULE/INITIAL_WARM

Mode: warm
Index Revision ID Timestamp Message
HEAD 66a0...66975e a year ago config revision by INJECTION-CAPACITANCE with RAW data 66a022d26cdf72011b669750 and analysis result 66a022d76cdf72011b66975d
HEAD^1 66a0...d70619 a year ago config revision by ADC-CALIBRATION with RAW data 66a0126d64a16c8ce4d70611 and analysis result 66a0127364a16c8ce4d70618
HEAD^2 669c...36da52 a year ago config revision by INJECTION-CAPACITANCE with RAW data 669c8efed88a58653436da44 and analysis result 669c8f03d88a58653436da51
HEAD^3 669c...36da13 a year ago config revision by VCAL-CALIBRATION with RAW data 669c8e65d88a58653436da03 and analysis result 669c8e6bd88a58653436da12
HEAD^4 669c...36cb2b a year ago initial generation from module-qc-database-tools
HEAD^5 6691...0ffece a year ago initial generation from module-qc-database-tools
HEAD^6 6605...74e971 2 years ago initial generation from module-qc-database-tools
HEAD^7 6604...c7d919 2 years ago initial generation from module-qc-database-tools
HEAD^8 65e6...cc92a7 2 years ago initial generation from module-qc-database-tools
HEAD^9 65e6...cc927d 2 years ago config revision by DATA-TRANSMISSION with RAW data 65e63b37ff02867cbecc9273 and analysis result 65e63b39ff02867cbecc927c
HEAD^10 65e6...cc9256 2 years ago config revision by UNDERSHUNT-PROTECTION with RAW data 65e63b1dff02867cbecc924e and analysis result 65e63b20ff02867cbecc9255
HEAD^11 65e6...cc9233 2 years ago config revision by OVERVOLTAGE-PROTECTION with RAW data 65e63a32ff02867cbecc922b and analysis result 65e63a34ff02867cbecc9232
HEAD^12 65e6...cc91b8 2 years ago config revision by INJECTION-CAPACITANCE with RAW data 65e62b0cff02867cbecc91aa and analysis result 65e62b0fff02867cbecc91b7
HEAD^13 65e6...cc916b 2 years ago config revision by VCAL-CALIBRATION with RAW data 65e62a59ff02867cbecc915b and analysis result 65e62a5dff02867cbecc916a
HEAD^14 65e6...cc912c 2 years ago config revision by SLDO with RAW data 65e626ffff02867cbecc911e and analysis result 65e62703ff02867cbecc912b
HEAD^15 65e6...cc90c3 2 years ago config revision by ANALOG-READBACK with RAW data 65e62172ff02867cbecc909e and analysis result 65e6217dff02867cbecc90c2
HEAD^16 65e6...cc9062 2 years ago config revision by ADC-CALIBRATION with RAW data 65e61847ff02867cbecc9058 and analysis result 65e6184aff02867cbecc9061
HEAD^17 65e6...cc9036 2 years ago config revision by ADC-CALIBRATION with RAW data 65e617d4ff02867cbecc902c and analysis result 65e617d7ff02867cbecc9035
HEAD^18 65e6...cc900f 2 years ago initial generation from module-qc-database-tools
Mode: cold
Index Revision ID Timestamp Message
HEAD 669c...36cb4c a year ago initial generation from module-qc-database-tools
HEAD^1 6691...0ffed1 a year ago initial generation from module-qc-database-tools
HEAD^2 6605...74e974 2 years ago initial generation from module-qc-database-tools
HEAD^3 6604...c7d91c 2 years ago initial generation from module-qc-database-tools
HEAD^4 65e6...cc92aa 2 years ago initial generation from module-qc-database-tools
HEAD^5 65e6...cc9015 2 years ago initial generation from module-qc-database-tools
Mode: LP
Index Revision ID Timestamp Message
HEAD 66a0...6697bb a year ago config revision by LP-MODE with RAW data 66a0233b6cdf72011b6697b3 and analysis result 66a0233d6cdf72011b6697ba
HEAD^1 669c...36cb5f a year ago initial generation from module-qc-database-tools
HEAD^2 6691...0ffed4 a year ago initial generation from module-qc-database-tools
HEAD^3 6605...74e977 2 years ago initial generation from module-qc-database-tools
HEAD^4 6604...c7d91f 2 years ago initial generation from module-qc-database-tools
HEAD^5 65e6...cc92ad 2 years ago initial generation from module-qc-database-tools
HEAD^6 65e6...cc9210 2 years ago config revision by LP-MODE with RAW data 65e639e5ff02867cbecc9208 and analysis result 65e639e8ff02867cbecc920f
HEAD^7 65e6...cc901b 2 years ago initial generation from module-qc-database-tools
Stage Tests
TESTONWAFER
  • Electrical FE chip tests   (FECHIP_TEST)
HYBRIDISATION
UNUSABLE
BAREMODULEASSEMBLY
BAREMODULERECEPTION
  • Minimal Health Test  (MIN_HEALTH_TEST)
  • Analog Readback  (ANALOG_READBACK)
MODULE/INIT
MODULE/ASSEMBLY
MODULE/WIREBONDING
  • ADC Calibration  (ADC_CALIBRATION)
  • Data Transmission  (DATA_TRANSMISSION)
  • VCAL Calibration  (VCAL_CALIBRATION)
  • Minimal Health Test  (MIN_HEALTH_TEST)
  • Tuning  (TUNING)
  • Pixel Failure Analysis  (PIXEL_FAILURE_ANALYSIS)
  • SLDO  (SLDO)
  • Low Power Mode  (LP_MODE)
  • Analog Readback  (ANALOG_READBACK)
  • Injection Capacitance  (INJECTION_CAPACITANCE)
MODULE/INITIAL_WARM
  • ADC Calibration  (ADC_CALIBRATION)
  • Analog Readback  (ANALOG_READBACK)
  • SLDO  (SLDO)
  • VCAL Calibration  (VCAL_CALIBRATION)
  • Low Power Mode  (LP_MODE)
  • Overvoltage Protection  (OVERVOLTAGE_PROTECTION)
  • Undershunt Protection  (UNDERSHUNT_PROTECTION)
  • Data Transmission  (DATA_TRANSMISSION)
  • Injection Capacitance  (INJECTION_CAPACITANCE)
  • Minimal Health Test  (MIN_HEALTH_TEST)
  • Tuning  (TUNING)
  • Pixel Failure Analysis  (PIXEL_FAILURE_ANALYSIS)
MODULE/QC_CROSSCHECK
  • ADC Calibration  (ADC_CALIBRATION)
  • Analog Readback  (ANALOG_READBACK)
  • SLDO  (SLDO)
  • VCAL Calibration  (VCAL_CALIBRATION)
  • Low Power Mode  (LP_MODE)
  • Overvoltage Protection  (OVERVOLTAGE_PROTECTION)
  • Undershunt Protection  (UNDERSHUNT_PROTECTION)
  • Data Transmission  (DATA_TRANSMISSION)
  • Injection Capacitance  (INJECTION_CAPACITANCE)
  • Minimal Health Test  (MIN_HEALTH_TEST)
  • Tuning  (TUNING)
  • Pixel Failure Analysis  (PIXEL_FAILURE_ANALYSIS)
MODULE/INITIAL_COLD
  • ADC Calibration  (ADC_CALIBRATION)
  • Analog Readback  (ANALOG_READBACK)
  • SLDO  (SLDO)
  • VCAL Calibration  (VCAL_CALIBRATION)
  • Injection Capacitance  (INJECTION_CAPACITANCE)
  • Tuning  (TUNING)
  • Minimal Health Test  (MIN_HEALTH_TEST)
  • Pixel Failure Analysis  (PIXEL_FAILURE_ANALYSIS)
  • Low Power Mode  (LP_MODE)
  • Overvoltage Protection  (OVERVOLTAGE_PROTECTION)
  • Undershunt Protection  (UNDERSHUNT_PROTECTION)
  • Data Transmission  (DATA_TRANSMISSION)
MODULE/PARYLENE_MASKING
  • ADC Calibration  (ADC_CALIBRATION)
  • VCAL Calibration  (VCAL_CALIBRATION)
  • SLDO  (SLDO)
  • Low Power Mode  (LP_MODE)
  • Minimal Health Test  (MIN_HEALTH_TEST)
  • Tuning  (TUNING)
  • Pixel Failure Analysis  (PIXEL_FAILURE_ANALYSIS)
  • Analog Readback  (ANALOG_READBACK)
  • Injection Capacitance  (INJECTION_CAPACITANCE)
  • Data Transmission  (DATA_TRANSMISSION)
MODULE/PARYLENE_COATING
MODULE/PARYLENE_UNMASKING
  • Minimal Health Test  (MIN_HEALTH_TEST)
  • Pixel Failure Analysis  (PIXEL_FAILURE_ANALYSIS)
  • Tuning  (TUNING)
  • Data Transmission  (DATA_TRANSMISSION)
  • ADC Calibration  (ADC_CALIBRATION)
  • VCAL Calibration  (VCAL_CALIBRATION)
  • SLDO  (SLDO)
  • Analog Readback  (ANALOG_READBACK)
  • Injection Capacitance  (INJECTION_CAPACITANCE)
  • Low Power Mode  (LP_MODE)
MODULE/WIREBOND_PROTECTION
  • Minimal Health Test  (MIN_HEALTH_TEST)
  • Pixel Failure Analysis  (PIXEL_FAILURE_ANALYSIS)
  • Tuning  (TUNING)
  • ADC Calibration  (ADC_CALIBRATION)
  • Low Power Mode  (LP_MODE)
  • VCAL Calibration  (VCAL_CALIBRATION)
  • Analog Readback  (ANALOG_READBACK)
  • Injection Capacitance  (INJECTION_CAPACITANCE)
  • SLDO  (SLDO)
  • Data Transmission  (DATA_TRANSMISSION)
MODULE/POST_PARYLENE_WARM
  • ADC Calibration  (ADC_CALIBRATION)
  • Analog Readback  (ANALOG_READBACK)
  • Overvoltage Protection  (OVERVOLTAGE_PROTECTION)
  • Undershunt Protection  (UNDERSHUNT_PROTECTION)
  • SLDO  (SLDO)
  • VCAL Calibration  (VCAL_CALIBRATION)
  • Data Transmission  (DATA_TRANSMISSION)
  • Injection Capacitance  (INJECTION_CAPACITANCE)
  • Minimal Health Test  (MIN_HEALTH_TEST)
  • Tuning  (TUNING)
  • Pixel Failure Analysis  (PIXEL_FAILURE_ANALYSIS)
  • Low Power Mode  (LP_MODE)
MODULE/POST_PARYLENE_COLD
  • ADC Calibration  (ADC_CALIBRATION)
  • Analog Readback  (ANALOG_READBACK)
  • VCAL Calibration  (VCAL_CALIBRATION)
  • Low Power Mode  (LP_MODE)
  • Data Transmission  (DATA_TRANSMISSION)
  • Overvoltage Protection  (OVERVOLTAGE_PROTECTION)
  • Undershunt Protection  (UNDERSHUNT_PROTECTION)
  • SLDO  (SLDO)
  • Minimal Health Test  (MIN_HEALTH_TEST)
  • Tuning  (TUNING)
  • Pixel Failure Analysis  (PIXEL_FAILURE_ANALYSIS)
  • Injection Capacitance  (INJECTION_CAPACITANCE)
MODULE/THERMAL_CYCLES
  • Minimal Health Test  (MIN_HEALTH_TEST)
  • Pixel Failure Analysis  (PIXEL_FAILURE_ANALYSIS)
  • Tuning  (TUNING)
  • Data Transmission  (DATA_TRANSMISSION)
  • SLDO  (SLDO)
  • ADC Calibration  (ADC_CALIBRATION)
  • VCAL Calibration  (VCAL_CALIBRATION)
  • Analog Readback  (ANALOG_READBACK)
  • Injection Capacitance  (INJECTION_CAPACITANCE)
  • Low Power Mode  (LP_MODE)
  • Cold startup  (COLD_STARTUP)
MODULE/LONG_TERM_STABILITY_TEST
  • Minimal Health Test  (MIN_HEALTH_TEST)
  • Pixel Failure Analysis  (PIXEL_FAILURE_ANALYSIS)
  • Low Power Mode  (LP_MODE)
  • Data Transmission  (DATA_TRANSMISSION)
  • SLDO  (SLDO)
  • Tuning  (TUNING)
  • ADC Calibration  (ADC_CALIBRATION)
  • VCAL Calibration  (VCAL_CALIBRATION)
  • Analog Readback  (ANALOG_READBACK)
  • Injection Capacitance  (INJECTION_CAPACITANCE)
MODULE/FINAL_WARM
  • ADC Calibration  (ADC_CALIBRATION)
  • Analog Readback  (ANALOG_READBACK)
  • SLDO  (SLDO)
  • VCAL Calibration  (VCAL_CALIBRATION)
  • Undershunt Protection  (UNDERSHUNT_PROTECTION)
  • Overvoltage Protection  (OVERVOLTAGE_PROTECTION)
  • Data Transmission  (DATA_TRANSMISSION)
  • Minimal Health Test  (MIN_HEALTH_TEST)
  • Pixel Failure Analysis  (PIXEL_FAILURE_ANALYSIS)
  • Tuning  (TUNING)
  • Low Power Mode  (LP_MODE)
  • Injection Capacitance  (INJECTION_CAPACITANCE)
MODULE/FINAL_COLD
  • ADC Calibration  (ADC_CALIBRATION)
  • Analog Readback  (ANALOG_READBACK)
  • SLDO  (SLDO)
  • VCAL Calibration  (VCAL_CALIBRATION)
  • Injection Capacitance  (INJECTION_CAPACITANCE)
  • Low Power Mode  (LP_MODE)
  • Overvoltage Protection  (OVERVOLTAGE_PROTECTION)
  • Undershunt Protection  (UNDERSHUNT_PROTECTION)
  • Tuning  (TUNING)
  • Minimal Health Test  (MIN_HEALTH_TEST)
  • Pixel Failure Analysis  (PIXEL_FAILURE_ANALYSIS)
  • Data Transmission  (DATA_TRANSMISSION)
  • Cold startup  (COLD_STARTUP)
MODULE/FINAL_METROLOGY
  • Data Transmission  (DATA_TRANSMISSION)
  • ADC Calibration  (ADC_CALIBRATION)
  • VCAL Calibration  (VCAL_CALIBRATION)
  • SLDO  (SLDO)
  • Injection Capacitance  (INJECTION_CAPACITANCE)
  • Minimal Health Test  (MIN_HEALTH_TEST)
  • Tuning  (TUNING)
  • Pixel Failure Analysis  (PIXEL_FAILURE_ANALYSIS)
  • Injection Capacitance  (INJECTION_CAPACITANCE)
  • Analog Readback  (ANALOG_READBACK)
MODULE/QC_STATUS
MODULE/UNHAPPY
  • ADC Calibration  (ADC_CALIBRATION)
  • Analog Readback  (ANALOG_READBACK)
  • VCAL Calibration  (VCAL_CALIBRATION)
  • Minimal Health Test  (MIN_HEALTH_TEST)
  • Tuning  (TUNING)
  • Pixel Failure Analysis  (PIXEL_FAILURE_ANALYSIS)
  • Low Power Mode  (LP_MODE)
  • Injection Capacitance  (INJECTION_CAPACITANCE)
  • SLDO  (SLDO)
  • Data Transmission  (DATA_TRANSMISSION)
MODULE/NOTCONSIDEREDINYIELDS
  • ADC Calibration  (ADC_CALIBRATION)
  • VCAL Calibration  (VCAL_CALIBRATION)
  • SLDO  (SLDO)
  • Undershunt Protection  (UNDERSHUNT_PROTECTION)
  • Pixel Failure Analysis  (PIXEL_FAILURE_ANALYSIS)
  • Minimal Health Test  (MIN_HEALTH_TEST)
  • Tuning  (TUNING)
  • Analog Readback  (ANALOG_READBACK)
  • Overvoltage Protection  (OVERVOLTAGE_PROTECTION)
  • Low Power Mode  (LP_MODE)
  • Injection Capacitance  (INJECTION_CAPACITANCE)
  • Data Transmission  (DATA_TRANSMISSION)
MODULE/GRAVEYARD
MODULE/COMPLETE
MODULE/RECEPTION
  • Minimal Health Test  (MIN_HEALTH_TEST)
  • Pixel Failure Analysis  (PIXEL_FAILURE_ANALYSIS)
  • ADC Calibration  (ADC_CALIBRATION)
  • Analog Readback  (ANALOG_READBACK)
  • SLDO  (SLDO)
  • Data Transmission  (DATA_TRANSMISSION)
  • Tuning  (TUNING)
MODULE/TAB_CUTTING
  • Minimal Health Test  (MIN_HEALTH_TEST)
LLS/PRE_TC_WARM
  • Minimal Health Test  (MIN_HEALTH_TEST)
  • Analog Readback  (ANALOG_READBACK)
  • SLDO  (SLDO)
  • Low Power Mode  (LP_MODE)
  • Tuning  (TUNING)
  • Pixel Failure Analysis  (PIXEL_FAILURE_ANALYSIS)
LLS/PRE_TC_COLD
  • Minimal Health Test  (MIN_HEALTH_TEST)
  • Analog Readback  (ANALOG_READBACK)
  • SLDO  (SLDO)
  • Tuning  (TUNING)
  • Pixel Failure Analysis  (PIXEL_FAILURE_ANALYSIS)
LLS/POST_TC_WARM
  • Minimal Health Test  (MIN_HEALTH_TEST)
  • Analog Readback  (ANALOG_READBACK)
  • SLDO  (SLDO)
  • Tuning  (TUNING)
  • Pixel Failure Analysis  (PIXEL_FAILURE_ANALYSIS)
LLS/POST_TC_COLD
  • Minimal Health Test  (MIN_HEALTH_TEST)
  • Analog Readback  (ANALOG_READBACK)
  • SLDO  (SLDO)
  • Tuning  (TUNING)
  • Pixel Failure Analysis  (PIXEL_FAILURE_ANALYSIS)
LLS/RECEPTION
  • Minimal Health Test  (MIN_HEALTH_TEST)
  • Analog Readback  (ANALOG_READBACK)
  • SLDO  (SLDO)
  • Tuning  (TUNING)
  • Pixel Failure Analysis  (PIXEL_FAILURE_ANALYSIS)
OB_LOADED_MODULE_CELL/INIT
OB_LOADED_MODULE_CELL/ASSEMBLY
OB_LOADED_MODULE_CELL/WIREBOND_PROTECTION
OB_LOADED_MODULE_CELL/THERMAL_CYCLES
OB_LOADED_MODULE_CELL/FINAL_WARM
  • ADC Calibration  (ADC_CALIBRATION)
  • Analog Readback  (ANALOG_READBACK)
  • SLDO  (SLDO)
  • VCAL Calibration  (VCAL_CALIBRATION)
  • Injection Capacitance  (INJECTION_CAPACITANCE)
  • Low Power Mode  (LP_MODE)
  • Data Transmission  (DATA_TRANSMISSION)
  • Minimal Health Test  (MIN_HEALTH_TEST)
  • Tuning  (TUNING)
  • Pixel Failure Analysis  (PIXEL_FAILURE_ANALYSIS)
OB_LOADED_MODULE_CELL/FINAL_COLD
  • ADC Calibration  (ADC_CALIBRATION)
  • Analog Readback  (ANALOG_READBACK)
  • SLDO  (SLDO)
  • VCAL Calibration  (VCAL_CALIBRATION)
  • Injection Capacitance  (INJECTION_CAPACITANCE)
  • Low Power Mode  (LP_MODE)
  • Data Transmission  (DATA_TRANSMISSION)
  • Minimal Health Test  (MIN_HEALTH_TEST)
  • Tuning  (TUNING)
  • Pixel Failure Analysis  (PIXEL_FAILURE_ANALYSIS)
OB_LOADED_MODULE_CELL/THERMAL_COLD
OB_LOADED_MODULE_CELL/THERMAL_WARM
OB_LOADED_MODULE_CELL/ENVELOPE_CHECK
OB_LOADED_MODULE_CELL/QC_STATUS
OB_LOADED_MODULE_CELL/UNHAPPY
OB_LOADED_MODULE_CELL/COMPLETE
OB_LOADED_MODULE_CELL/RECEPTION
  • Minimal Health Test  (MIN_HEALTH_TEST)
  • Pixel Failure Analysis  (PIXEL_FAILURE_ANALYSIS)
  • SLDO  (SLDO)
OB_LOADED_MODULE_CELL/TAB_CUTTING
  • Minimal Health Test  (MIN_HEALTH_TEST)
OB_LOADED_MODULE_CELL/PIGTAIL_INSERTION
TEST_AFTER_LOADED_LOCAL_SUPPORT_ASSEMBLY
  • OB:Loaded local support QC electrical connectivity  (OBLoadedLocalSupportQC_ElectricalConnectivity)
  • OB:Loaded local support QC electrical performance  (OBLoadedLocalSupportQC_ElectricalPerformance)
  • OB:Loaded local support reception at the integration site  (OBLoadedLocalSupport_IntegrationSite)
  • OB:Loaded local support QC electrical low power  (OBLoadedLocalSupport_QCElectricalLowPower)
TEST_JM_OEC_FE
Back to top page of this component